Issue 9, 2025

A double-chain based metallomicellar catalyst for aerobic oxidative synthesis of benzimidazoles in water

Abstract

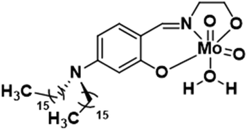
The oxomolybdenum complexes Mo1, Mo2 and Mo3, which share a common ONO donor ligand backbone but differ in their peripheral substituents, were explored to study their reactivity in organic transformations in water. The ligand backbones of Mo1 and Mo2 were covalently linked to a methyl group and a single hydrophobic n-hexadecyl chain via an ether linkage, respectively. The complex Mo3 was found to possess two n-hexadecyl chains attached to the ligand backbone via a common amine-N. Complexes Mo2 and Mo3 formed metallomicelle when dispersed in water due to the surfactant presence in their structures, enabling them to uptake organic substrates. The catalytic potential of the complexes was evaluated for the oxidative coupling of benzylamine with 1,2-diaminobenzene to synthesize benzimidazole in neat water using open air as the sole oxidant. The double-chain surfactant-type catalyst Mo3 displayed superior activity compared to the single-chain surfactant-type complex, Mo2. A wide variety of benzimidazoles were synthesized in good to excellent yields under environmentally benign conditions using Mo3 as the catalyst. The practical utility of the process was validated through multi-gram scale-up reactions and recyclability experiments. A plausible mechanism was proposed based on several controlled experiments and literature support.

Graphical abstract: A double-chain based metallomicellar catalyst for aerobic oxidative synthesis of benzimidazoles in water

Supplementary files

Article information

Article type
Paper
Submitted
09 Dec 2024
Accepted
06 Jan 2025
First published
09 Jan 2025

Dalton Trans., 2025,54, 3704-3713

A double-chain based metallomicellar catalyst for aerobic oxidative synthesis of benzimidazoles in water

P. Sunani, P. Thiruvengetam and D. K. Chand, Dalton Trans., 2025, 54, 3704 DOI: 10.1039/D4DT03406F

To request permission to reproduce material from this article, please go to the Copyright Clearance Center request page.

If you are an author contributing to an RSC publication, you do not need to request permission provided correct acknowledgement is given.

If you are the author of this article, you do not need to request permission to reproduce figures and diagrams provided correct acknowledgement is given. If you want to reproduce the whole article in a third-party publication (excluding your thesis/dissertation for which permission is not required) please go to the Copyright Clearance Center request page.

Read more about how to correctly acknowledge RSC content.

Social activity

Spotlight

Advertisements