Triggering effect caused by elemental sulfur as a mean to reduce the polymerization temperature of benzoxazine monomers

Carlos Rodriguez Arzaa, Pablo Froimowiczab and Hatsuo Ishida*a
aDepartment of Macromolecular Science and Engineering, Case Western Reserve University, Cleveland, Ohio 44106-7202, USA. E-mail: hxi3@case.edu
bDesign and Chemistry of Macromolecules Group, Institute of Technology in Polymers and Nanotechnology (ITPN), UBA-CONICET, School of Engineering, University of Buenos Aires, Las Heras 2214 (CP 1127AAR), Buenos Aires, Argentina

Received 18th February 2016 , Accepted 24th March 2016

First published on 24th March 2016


Abstract

Mixtures of different benzoxazine resins and elemental sulfur (S8) are prepared and then reacted at 120 °C, below the temperature for radical formation of sulfur. The progress of the reaction and the chemical structures of the main products are monitored and characterized by proton nuclear magnetic resonance spectroscopy (1H NMR) and Fourier transform infrared spectroscopy (FT-IR). Thermal analysis of all reactive systems are also performed and studied by differential scanning calorimetry (DSC). The introduction of S8 into benzoxazines generates a new structure bearing a Schiff base and a phenolic –OH within the reactive system, which then triggers the reduction of the polymerization temperature in about 15% when as low as 5 mol% of S8 is added.


Introduction

Elemental sulfur has been exploited in massive amounts in the chemical industry as a starting material for the production of some commodities1 and fertilizers,2,3 and in smaller scales in the tyre industry,4 in more delicate chemical syntheses of synthetic precursors5 and materials,6 and even in cosmetics.7 As demanding as all these applications combined might be, they actually consume only about 11% of the elemental sulfur that is generated as a by-product in other industrial processes, which is over 60 million tons per year.8 Consequently, there is still an enormous excess of elemental sulfur, which may be philosophically taken as waste to deal with or as a huge amount of inexpensive feedstock to be smartly exploited toward any novel industrial application. To make the latter possible, however, deep fundamental understanding through systematic studies addressing this issue are needed. A good example of this has been reported by Pyun and co-workers,1 where elemental sulfur has been used as an alternative feedstock toward the generation of co-polymeric materials. In this approach elemental sulfur was used as a co-monomer following a methodology now known as inverse vulcanization. This method essentially consists on stabilizing a much higher molar ratio of elemental sulfur than the co-monomer via copolymerization. In this manner, depolymerization of the diradical form of polymeric sulfur is avoided. This was helpful as the polysulfur made by thermal polymerization of elemental sulfur is thermodynamically unstable and revert to small molecular weight in time. In general, the most used co-monomers in this inverse vulcanization are dienes and 1,3-diisopropenylbenzene (DIB). A direct industrial potential exploitation of this methodology was also demonstrated by these same researchers when they reported the scale up to the order of kilograms.8 We have also noticed a recent real industrial interest in exploiting elemental sulfur in polybenzoxazine-based materials,9 in addition to a few known related examples reported in the scientific literature.10–13 These facts strongly motivated us to study, understand, and correlate the influence of using elemental sulfur on the polymerization of benzoxazines.

Polybenzoxazine is a type of thermosetting polymer that has, for the last decades, attracted much attention in both academia and industry. It displays remarkable physical and mechanical properties such as very high chemical14 and thermal15 resistance, flame retardancy,16 low water absorption,17 and low dielectric constant and dissipation factor.18 The synthesis of benzoxazine monomers typically involves a phenol, a primary amine and formaldehyde. These benzoxazine monomers offer what is considered one of the richest monomer design versatility of all polymers. Polymerization of these benzoxazine monomers occurs upon heating and without any release or generation of by-products. Moreover, the use of acid, base, or metal catalysts are not required, although they might be used if considered appropriate in special cases.19,20 However, benzoxazine monomers are typically polymerized at temperatures that are still considered as too high for certain applications, spanning from 160 to 220 °C for systems exhibiting exotherm maxima between 210 and 270 °C.

Fig. 1 shows the chemical structures of elemental sulfur and benzoxazines, clearly exhibiting different features. While benzoxazine monomers have a general nuclei with a high degree of sophistication, elemental sulfur seems to have a simpler structure presenting a predominantly 8-membered ring form (hereinafter abbreviated as S8). Nevertheless, under ambient conditions both the S8 and most of the benzoxazine monomers are present as crystalline solids, and they melt in a similar temperature range. Moreover, both compounds polymerize when exposed to high temperatures. In the case of benzoxazines, as mentioned earlier, the most accepted mechanism is via cationic polymerization. The chemistry behind the polymerization of S8 seems to be somehow dependent on the conditions. Thus, for example, it is known that elemental sulfur undergoes thermal radical polymerization, producing a linear polymer, which then depolymerize regenerating the monomeric structure under moderate temperature. What is observed during the propagation step is the existence of a polymeric diradical, which has been reported to react to some dienes and other carbon–carbon double bonds to copolymerize.21 However, S8 has also been reported to anionically co-polymerize.22,23 It must be said that radical polymerization of S8 is the most studied and exploited polymerization of elemental sulfur to date. Examples of these reactions are, for instance, the well-known vulcanization process with rubbers, and with cyclopentadiene where brittle materials were obtained.21 This induction of brittleness into the final product may be highly inconvenient for many materials, but certainly not in all materials. Polybenzoxazines that are derived from monomeric precursors are in general naturally brittle, therefore a copolymerization between S8 and benzoxazine resins would not cause any property disruption to the material in this regard. In fact, it has recently been reported that copolymerization between these compounds have been carried out and have substantially reduced the polymerization temperature of the benzoxazine resins.9 To date, all efforts were addressed from a material's standpoint. Thus, studies and explanations have not been reported just yet, explaining the scientific fundamentals and reasons for that reduction to happen.


image file: c6ra04420d-f1.tif
Fig. 1 Schematic formation of liquid sulfur diradical (a), and ring-opening polymerization of benzoxazine monomer (b).

Knowing detailed information on chemical aspects that take place during the polymerization will certainly be very useful to manipulate the mechanisms. This will, in turn, help to overcome and further enhance features not only of the polymerization itself, but also properties of the final materials. Motivated by this fact, we have developed a particular interest in understanding the polymerization process and correlating the influence of the elemental sulfur (S8) on the reduction of the polymerization temperature of benzoxazines. Thus, we present in this work a systematic study uncovering the triggering role played by the S8 during the polymerization of benzoxazine resins, explaining the observed reduction in the polymerization temperature.

Experimental

Materials

Aniline, anisidine, p-cresol, 2,4-dimethylphenol, hydroquinone, 4-nitroaniline, paraformaldehyde, salicylaldehyde, p-toluidine, 4-(trifluoromethyl)aniline, and 2,4,6-trimethylaniline were used as received from Sigma-Aldrich. Elemental sulfur (S8) was purchased from Sigma-Aldrich and purified through recrystallization from xylenes twice. Basic alumina, Celite™ 521, cyclohexane, hexanes, MgSO4, pentane, toluene, and xylenes were purchased from Fischer scientific and used as received.

Synthesis of 3-phenyl-3,4-dihydro-2H-benzo[e][1,3]oxazine (abbreviated as PH-a)

PH-a was synthesized and purified following the procedure described elsewhere.24

Synthesis of 6-methyl-3-(p-tolyl)-3,4-dihydro-2H-benzo[e][1,3]oxazine (abbreviated as pC-pt)

p-Toluidine (1.07 g, 10 mmol), p-cresol (10.8 g, 10 mmol), and paraformaldehyde (0.66 g, 22 mmol) were stirred at 100 °C under neat conditions. After 4 h, the reaction mixture was dissolved in hexanes and filtrated through a basic alumina pad. Removal of the solvent afforded white crystals (yield: 70%). 1H NMR (600 MHz, CDCl3, 25 °C) δ, ppm: 7.05–6.7 (7H, aromatics), 5.31 (s, 2H, Ar-O-CH2-NR), 4.56 (s, 2H, Ar-CH2-NR), 2.27 (s, 3H, RO-Ar-CH3), and 2.26 (s, 3H, RN-Ar-CH3).

Synthesis of 3-(4-methoxyphenyl)-3,4-dihydro-2H-benzo[e][1,3]oxazine (abbreviated as PH-4ma)

In a 50 mL round-bottomed flask equipped with magnetic stirrer, anisidine (1.19 g, 9.67 mmol), phenol (0.91 g, 9.67 mmol), paraformaldehyde (1.05 g, 21.3 mmol) and toluene (18 mL) were added and stirred at reflux for 7 h. As the reaction mixture cooled, the raw product was filtered through a Celite™ 521 pad. After removal of the solvent, recrystallization from isopropanol yielded white needle-like crystals (yield: 65%). 1H NMR (600 MHz, CDCl3, 25 °C) δ, ppm: 7.11–6.8 (9H, aromatics), 5.28 (s, 2H, Ar-O-CH2-NR), 4.55 (s, 2H, Ar-CH2-NR), and 3.74 (s, 3H, Ar-O-CH3).

Synthesis of 3-(4-(trifluoromethyl)phenyl)-3,4-dihydro-2H-benzo[e][1,3]oxazine (abbreviated as PH-4tfma)

In a 50 mL round-bottomed flask equipped with magnetic stirrer, 4-(trifluoromethyl)aniline (1.84 g, 11.4 mmol), phenol (1.08 g, 11.4 mmol), paraformaldehyde (0.75 g, 25.1 mmol) and toluene (23 mL) were added and stirred at reflux for 10 h. After removal of the solvent, 50 mL hexanes was added and passed through a basic alumina pad. Removal of the solvent yielded white needle-like crystals (yield: 70%). 1H NMR (600 MHz, CDCl3, 25 °C) δ, ppm: 7.51–6.83 (9H, aromatics), 5.39 (s, 2H, Ar-O-CH2-NR), and 4.68 (s, 2H, Ar-CH2-NR).

Synthesis of 3-(4-nitrophenyl)-3,4-dihydro-2H-benzo[e][1,3]oxazine (abbreviated as PH-4na)

In a 50 mL round-bottomed flask equipped with magnetic stirrer, 4-nitroaniline (1.65 g, 12 mmol), phenol (1.13 g, 12 mmol), paraformaldehyde (0.79 g, 26.3 mmol) and toluene (23 mL) were added and stirred at reflux for 20 h. As the reaction mixture cooled, the raw product was filtered through a Celite™ 521 pad. After removal of the solvent, recrystallization from cyclohexane yielded yellow needle-like crystals (yield: 60%). 1H NMR (600 MHz, CDCl3, 25 °C) δ, ppm: 8.16–6.86 (9H, aromatics), 5.42 (s, 2H, Ar-O-CH2-NR), and 4.74 (s, 2H, Ar-CH2-NR).

Synthesis of 3-mesityl-6,8-dimethyl-3,4-dihydro-2H-benzo[e][1,3]oxazine (abbreviated as 24DMP-246tma)

In a 25 mL round-bottomed flask equipped with magnetic stirrer, 2,4,6-trimethylaniline (0.73 g, 5.41 mmol), 2,4-dimethylphenol (0.66 g, 5.41 mmol), paraformaldehyde (0.36 g, 11.9 mmol) and toluene (12 mL) were added and stirred at 90 °C for 24 h. After removal of the solvent, 50 mL diethyl ether was added and washed with 1 N NaOH solution (20 mL × 3). The organic layer was dried over MgSO4, and concentrated under a stream of air. The residue was recrystallized from cold pentane (yield: 55%). 1H NMR (600 MHz, CDCl3, 25 °C) δ, ppm: 6.88–6.66 (3H, aromatics), 5.04 (s, 2H, Ar-O-CH2-NR), 4.30 (s, 2H, Ar-CH2-NR), and 2.27–2.21 (15H, Ar-CH3).

Synthesis of 3,8-diphenyl-2,3,4,7,8,9-hexahydrobenzo[1,2-e:4,5-e′]bis([1,3]oxazine) (abbreviated as HQ-a)

In a 25 mL round-bottomed flask equipped with magnetic stirrer, aniline (0.89 g, 9.54 mmol), hydroquinone (1.05 g, 9.54 mmol), paraformaldehyde (1.26 g, 42 mmol) and toluene (25 mL) were added and stirred at reflux for 5 h. As the reaction mixture cooled, yellowish needle-like crystals were obtained. Recrystallization from toluene yielded white crystals corresponding to the isomer depicted in Scheme 2 only (yield: 45%). 1H NMR (600 MHz, CDCl3, 25 °C) δ, ppm: 7.25–6.48 (3H, aromatics), 5.29 (s, 2H, Ar-O-CH2-NR), and 4.55 (s, 2H, Ar-CH2-NR).

Preparation of polybenzoxazines/S8 mixtures

Benzoxazine monomers and S8 were mixed using a mortar and pestle. The mixtures were finally heated at 120 °C under nitrogen atmosphere for various reaction times.

Characterization

Proton nuclear magnetic resonance (1H NMR) spectra were acquired on a Varian Oxford AS600 at a proton frequency of 600 MHz. The average number of transients was 64. A relaxation time of 10 s was used for the integrated intensity determination of 1H NMR spectra. Fourier transform infrared (FT-IR) spectra were recorded using a Bomem Michelson MB100 FTIR spectrometer, which was equipped with a deuterated triglycine sulfate (DTGS) detector and a dry air purge unit. Absorption spectra were obtained employing KBr plates, and using 64 scans at a resolution of 4 cm−1. Differential scanning calorimetry (DSC) measurements were carried out on a TA Instruments DSC Model 2920 with a nitrogen flow rate of 60 mL min−1. Thermograms of the monomers were obtained using a heating rate of 10 °C min−1. All samples were sealed in hermetic aluminum pans.

Results and discussion

To study the effect of elemental sulfur (S8) on benzoxazines, a family of different benzoxazine resins were mixed with stoichiometric amounts of S8 by grinding with a mortar and pestle. The mixtures were heated at 120 °C under nitrogen atmosphere for various reaction times. Evolution of the reaction for each mixture was spectroscopically studied by 1H NMR and FT-IR. The benzoxazines employed in this study were successfully synthesized according to a modified Mannich reaction protocol (Scheme 1).25 All chemical structures were confirmed by 1H-NMR. Table 1 summarizes the nomenclature used in this study for each benzoxazine.
image file: c6ra04420d-s1.tif
Scheme 1 Synthesis of benzoxazine resins. Refer to Table 1 for detailed information on the substituents.
Table 1 Summary of the benzoxazine resins synthesized and the correlation with their substituents at each given position
R1 R2 R3 R4 R5 Benzoxazine
PH-a
CH3 CH3 pC-pt
CH3 CH3 CH3 CH3 CH3 24DMP-246tma
OCH3   PH-4ma
CF3 PH-4tfma
NO2 PH-4na


It is worth mentioning at this point that PH-a was chosen as a model benzoxazine in this study since is the most general benzoxazine, which simplifies the study of fundamental chemistry. The known 24DMP-246tma which is a non-polymerizable benzoxazine, but structurally similar to PH-a, was also chosen for this study. Benzoxazines exhibiting different basicity, thus inducing different reactivity in the corresponding benzoxazines, were chosen to carry out a consistent, complementary, and systematic study. They are PH-4na, PH-4tfma, pC-pt, and PH-4ma. These four substituted benzoxazines bear the substituent groups at the very same position, specifically R4 (Scheme 1). The motivation for selecting these substituted benzoxazines is based on the conceptual idea of taking them as model compounds for potential di-functional benzoxazines since a vast variety of di-functional benzoxazines are indeed synthesized from diamines with the general formula 4,4′-(R)dianiline, where R is any organic radical connecting the two aniline moieties.

Fig. 2 shows the 1H NMR spectra of the mixtures between PH-a, pC-pt, 24DMP-246tma, or PH-4ma and S8 before and after 30 and 90 min reaction at 120 °C.


image file: c6ra04420d-f2.tif
Fig. 2 1H NMR spectra of (a) PH-a, (b) pC-pt, (c) 24DMP-246tma, and (d) PH-4ma mixed with 50 mol% S8 and reacted for 0, 30 and 90 min at 120 °C, under nitrogen atmosphere.

All the spectra recorded after 30 and 90 min at 120 °C show a signal in the highlighted region between 8 and 9 ppm, which is in good agreement with the proton resonance signal generated by imine groups belonging to Schiff bases as presented in Scheme 2. The Schiff bases are PH-aSB, pC-ptSB, 24DMP-246tmaSB, and PH-4mSB, and are named after the benzoxazines that would be generated by, that is PH-a, pC-pt, 24DMP-246tma, and PH-4m, respectively. For instance, Schiff base PH-4mSB was synthesized and its 1H NMR spectrum was compared with the spectra of PH-4ma and the crude product of the reaction between PH-4ma and S8 for 90 min. As observed in Fig. 3, among the appearing signals in the spectrum of the mixture, the ones highlighted corresponded precisely with those chemical shift values observed for compound PH-4mSB. The result is also supported by the values found in the literature for the specific compound, namely, 8.26 (imine proton), 7.36, 7.27 and 6.96 (aromatics), and 3.85 (methyl ether protons). Moreover, Table 2 shows a comparison between chemical shift values of characteristic proton resonances from Schiff bases found in the literature and those emerging peaks obtained in this study.


image file: c6ra04420d-s2.tif
Scheme 2 Generation of Schiff base compounds resulting from the reaction between the benzoxazine resins and S8 at 120 °C under nitrogen atmosphere.

image file: c6ra04420d-f3.tif
Fig. 3 1H NMR spectra of (a) PH-4ma, (b) PH-4ma mixed with 50 mol% S8 and reacted at 120 °C under N2 for 90 min, and (c) PH-4mSB.
Table 2 Characteristic proton chemical shift of RCHNR values of Schiff bases found in the literature (litt.) and this study
PH-aSB pC-ptSB 24DMP-246tmaSB PH-4mSB
CH[double bond, length as m-dash]N– (ppm) CH[double bond, length as m-dash]N–, Ar-CH3, Ar-CH3 (ppm) CH[double bond, length as m-dash]N– (ppm) CH[double bond, length as m-dash]N–, –OCH3 (ppm)
Litt.26 This study Litt.27 This study Litt.28 This study This study This study
8.65 8.62 8.50, 2.31, 2.24 8.58, 2.38, 2.32 8.22 8.27 8.59, 3.82 8.6, 3.85


Formation of Schiff bases was also observed when the added amount of S8 was reduced to 5 mol%. Fig. 4 shows 1H NMR spectra of the mixtures of PH-4ma and pC-pt with S8 at stoichiometric amounts and 5 mol% of S8, as well as the spectra of PH-4ma and pC-pt as control samples, all heated at 120 °C for 90 min. Characteristic resonances aforementioned of PH-4mSB, highlighted in Fig. 4 (8.26, 7.36, 7.27, 6.96 and 3.85) are clearly present for all reacted mixtures containing both 50 and 5 mol% S8. Similarly, the highlighted characteristic resonances of pC-ptSB, namely, 8.58 (imine proton), 7.21, 7.17 and 7.16 (aromatics), and 2.38 and 2.32 (methyl protons), were also present in the spectrum of the reacted mixtures. It must be emphasized that the formation of Schiff bases in samples without S8 subjected to 120 °C for 90 min under nitrogen carried out as control experiments was not observed in the 1H NMR spectra.


image file: c6ra04420d-f4.tif
Fig. 4 1H NMR spectra of (a) PH-4ma, (b) PH-4ma mixed with 5 mol% S8, (c) PH-4ma mixed with 50 mol% S8, (d) pC-pt, and (e) pC-pt mixed with 5 mol% S8, (f) pC-pt mixed with 50 mol% S8, reacted at 120 °C under N2 for 90 min.

Further evidence of the Schiff base formation is obtained by FT-IR analysis. Fig. 5 shows the FT-IR spectra of the reaction of PH-4ma and pC-pt with S8 at 120 °C under nitrogen. The formation of a Schiff base is best observed in the mixture PH-4ma and S8, where the band corresponding to the formation of the imine group (C[double bond, length as m-dash]N str.) clearly emerges at 1618 cm−1 (Fig. 5a–c). In the spectrum of the mixture pC-pt and S8, the broadness of the band centered at 1616 cm−1, is probably due to the presence of both the band caused by the tangential C–C bond stretching mode in the benzoxazine of pC-pt at 1612 cm−1, and the Schiff base C[double bond, length as m-dash]N stretching band at ∼1620 cm−1 (Fig. 5d–f).


image file: c6ra04420d-f5.tif
Fig. 5 FT-IR spectra of (a) PH-4ma, (b) PH-4ma control sample at 120 °C for 90 min and under nitrogen atmosphere, (c) PH-4ma mixed with 50 mol% S8 at 120 °C for 90 min and under nitrogen atmosphere, (d) pC-pt, (e) pC-pt control sample heated at 120 °C for 90 min under nitrogen atmosphere, and (f) pC-pt mixed with 50 mol% S8 heated at 120 °C for 90 min under nitrogen atmosphere. The dashed lines at 1604 and 1612 cm−1, show the position of the tangential C–C bond stretching bands of benzoxazines in PH-4ma and pC-pt, respectively, and serve to guide the eye.

At this stage, it has been disclosed that, when benzoxazine resins and S8 in a 50[thin space (1/6-em)]:[thin space (1/6-em)]50 molar ratio are reacted at 120 °C, the corresponding Schiff bases are formed, and no polymerization is observed. In other words, no polybenzoxazines were formed. Under the studied conditions, 120 °C and no longer than 90 min reaction, it is understandable that no polymer or copolymer were formed. However, the reaction between benzoxazine resins and S8 was clearly observed, and the reaction product identified and characterized.

It is known that S8 can react via radicals upon heating. However, those radical forms from S8 are usually not formed at 120 °C. Therefore, as mentioned before, the reaction conditions were set at 120 °C to avoid the formation of those radical from S8 caused by the heating. Having a complex reactive system reacting upon heating, the next step was to study whether this reaction between benzoxazine resins and S8 was through radicals or not. To address this concern, the following experiment was designed and carried out. A set of reactions between benzoxazine resins and S8 were studied using a well-known radical inhibitor, benzoquinone, and the results were compared to those without using this inhibitor. Thus, if the reaction indeed occurs via radicals, it should be highly disrupted when carried out in the presence of a significant amount of inhibitor (10 mol%). On the contrary, if the reaction does not proceed via radicals, it should continue its natural progress without being affected by the inhibitor.

Fig. 6 shows 1H NMR spectra of a 50[thin space (1/6-em)]:[thin space (1/6-em)]50 mol% mixture of PH-4ma and pC-pt with S8 after 90 min at 120 °C under nitrogen atmosphere, with and without 10 mol% of benzoquinone (inhibitor). It can be seen that spectra a and b are essentially identical, as are spectra c and d. These results suggest that the introduction of benzoquinone did not inhibit the reaction since the product was equally obtained in both systems. The minor differences between the two systems, however, are ascribed to possible heterogeneities in the reaction systems as no external stirring were applied.


image file: c6ra04420d-f6.tif
Fig. 6 1H NMR spectra of (a) PH-4ma mixed with 50 mol% S8, (b) PH-4ma mixed with 50 mol% S8 and 10 mol% benzoquinone, (c) pC-pt mixed with 50 mol% S8, (d) pC-pt mixed with 50 mol% S8 and 10 mol% benzoquinone, at 120 °C for 90 min and under nitrogen atmosphere. It can be seen that spectra a and b are essentially identical, as are spectra c and d.

Interestingly, it was observed that the extent of the reaction between the different benzoxazine resins and S8 at stoichiometric ratio varied according to the basicity of the amines employed for the synthesis of the benzoxazines. Thus, Fig. 7 graphically shows the conversion of the benzoxazines PH-4na, PH-4tfma, PH-a, pC-pt, and PH-4ma to the corresponding Schiff bases PH-4naSB, PH-4tfmaSB, PH-aSB, pC-ptSB, and PH-4maSB, respectively, as a function of the pKa of the amine. Benzoxazines containing strong electron-withdrawing groups in the amine portion such as nitro- and trifluoromethyl groups were unreactive to S8 at the studied reaction conditions. On the other hand, the most basic of the amines studied, which contained the strong electron-donating –OMe group, yielded Schiff base PH-4maSB in 70% after 90 min at 120 °C. The only exception was compound 24DMP-246tma, which is known to behave differently to regular benzoxazines when heated and might have, therefore, affected the outcome of the reaction.29 It seems then plausible that the degree in which the interaction between S8 and benzoxazine occurs is strongly dependent on the basicity of the amine portion of the benzoxazine compound,30 as shown in Fig. 7.


image file: c6ra04420d-f7.tif
Fig. 7 Conversion of benzoxazine resins to Schiff bases as a function of the pKa of the amine portion of benzoxazines. Reaction conditions: 120 °C, 90 min, under nitrogen atmosphere. The dashed line serves to guide the eye.

Polymerization studies

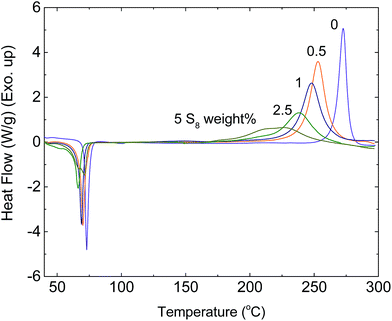
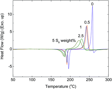
Having a deeper understanding of the reaction between benzoxazine resins and S8, identified, and characterized the product of that reaction, as the known Schiff base shown in Scheme 2, we noticed that the mentioned compounds bear a phenolic –OH. Previous studies have already demonstrated that the –OH belonging to phenolic moieties reduces the polymerization temperature of benzoxazine resins, as they act as initiators in the cationic ring-opening polymerizations of benzoxazines.31 Connecting these two facts, we carefully designed a set of experiments in order to smartly exploit the chemical reaction between the benzoxazine resins and S8 to trigger the in situ formation of initiators capable of initiating the polymerization at lower temperatures. To achieve this goal, mixtures of benzoxazine resins and low loadings of S8 were prepared. The conceptual idea is that the small mol% fraction of S8 will first stoichiometrically react with the benzoxazine resins, generating the phenolic Schiff base, which will then trigger the initiation of the polymerization at much lower temperatures. Mixtures of pC-pt with increasing amount of S8 were studied by DSC at a heating rate of 10 °C min−1 under nitrogen atmosphere. Fig. 8 shows the thermograms of the mixtures ranging from 0 to 5 weight% of S8. A clear decrease of the polymerization temperature of pC-pt with increasing concentrations of S8 is observed, specifically from 273 to 227 °C. We then developed a further interest in uncovering if this triggering effect was also effective for other kind of benzoxazine. Thus, for instance, HQ-a, a bifunctional benzoxazine, was synthesized and studied as model system, Scheme 3. The thermal behavior of HQ-a is presented in Fig. 9.
image file: c6ra04420d-f8.tif
Fig. 8 DSC thermograms of pC-pt containing 0, 0.5, 1, 2.5, and 5 weight% of S8 (0, 0.5, 0.9, 2.3, and 4.7 mol%). Conditions: heating rate of 10 °C min−1 and under nitrogen atmosphere.

image file: c6ra04420d-s3.tif
Scheme 3 Synthesis of the difunctional benzoxazine resin HQ-a.

image file: c6ra04420d-f9.tif
Fig. 9 DSC thermographs of HQ-a containing 0, 0.5, 1, 2.5 and 5 weight% S8 (0, 0.7, 1.3, 3.3, and 6.6 mol% S8). Conditions: heating rate of 10 °C min−1 and under nitrogen atmosphere.

The results observed in Fig. 8 and 9 clearly show that adding increasing amounts of S8 to benzoxazine resins, either monofunctional or difunctional ones, induces a progressively lowering in the polymerization temperatures.

To evaluate not only the magnitude but also the consistency of this lowering in the polymerization temperature, we plotted the polymerization temperature as a function of the S8 content. The result is shown in Fig. 10.


image file: c6ra04420d-f10.tif
Fig. 10 Polymerization temperature of pC-pt (image file: c6ra04420d-u1.tif) and HQ-a (image file: c6ra04420d-u2.tif) as a function of elemental sulfur (S8) content. Fitting lines serve to guide the eye.

Conclusions

In this study a family of different benzoxazines types, monofunctional and difunctional, were synthesized and fully characterized with aromatic amines of varying basicity. These resins were then reacted with elemental sulfur (S8) at 50[thin space (1/6-em)]:[thin space (1/6-em)]50 molar ratio at 120 °C. 1H-NMR and FT-IR spectroscopy helped us to elucidate the formation of the reaction product, which consisted in a Schiff base containing a phenolic –OH group. It was found that the more basic the amine used to form the benzoxazine the higher the extent of the reaction toward the formation of Schiff bases. It has also been demonstrated that the radical pathway for the reaction between S8 and benzoxazines can be neglected as no differences were found when a radical inhibitor was introduced in the system. This result, which is in agreement with the previous one related to the basicity of the amine, strongly suggests that the interaction between benzoxazine resins and S8 might be through the amine portion of benzoxazine.

Moreover, thermal analysis showed that the temperature of polymerization of the prepared benzoxazine is lowered by the addition of S8 up to a limit of around 220 °C, for the studied conditions.

Also, we have now fundamentally shown evidence that soundly explain the known reduction of the polymerization temperature. This decrease is induced by the in situ generation of phenolic-containing Schiff bases generated, which is the product of the reaction between S8 and benzoxazine monomers. It was found that the polymerization temperatures under the studied conditions were lower than those of many pure benzoxazines. Thus, these phenolic-containing Schiff bases have the ability of acting as an effective initiator in the polymerization of benzoxazines at lower temperatures.

Finally, we proposed the conceptual idea of exploiting the chemical reaction between benzoxazine resins and S8 using known amounts of S8 to trigger the formation of the in situ initiator, targeting specific polymerization temperatures. Similarly, this triggering effect can be tuned by changing the basicity of the amine used to form the benzoxazine monomer.

Acknowledgements

The authors gratefully acknowledge the financial support of 3M Company.

References

  1. W. J. Chung, J. J. Griebel, E. T. Kim, H. Yoon, A. G. Simmonds, H. J. Ji, P. T. Dirlam, R. S. Glass, J. J. Wie, N. A. Nguyen, B. W. Guralnick, J. Park, A. Somogyi, P. Theato, M. E. Mackay, Y. E. Sung, K. Char and J. Pyun, Nat. Chem., 2013, 5, 518–524 CrossRef CAS PubMed.
  2. R. A. Garcia Martinez and K. J. Hutter, US pat., US 08679219, 2014.
  3. M. Zaman, S. Zaman, B. F. Quin, L. V. Kurepin, S. Shaheen, S. Nawaz and K. M. Dawar, J. Soil Sci. Plant Nutr., 2014, 14, 245–257 Search PubMed.
  4. (a) J. Jungk, J. Große and E. Jagst, DE102012107608-A1, 2012; (b) J. Jungk, J. Große and E. Jagst, EP2700512-A1, 2013; (c) J. Jungk, J. Große and E. Jagst, EP2700512-B1, 2013.
  5. G. T. Zhang, H. Yi, H. Chen, C. L. Bian, C. Liu and A. W. Lei, Org. Lett., 2014, 16, 6156–6159 CrossRef CAS PubMed.
  6. J. Lim, J. Pyun and K. Char, Angew. Chem., Int. Ed., 2015, 54, 3249–3258 CrossRef CAS PubMed.
  7. (a) M. K. Kim, WO2013077511-A1, 2012; (b) H. P. Hong, J. Y. Lee, M. K. Park and D. S. Lim, KR2013058477-A, 2011; (c) H. P. Hong, J. Y. Lee, M. K. Park and D. S. Lim, KR2014118968-A, 2014; (d) H. P. Hong, J. Y. Lee, M. K. Park and D. S. Lim, KR2015073138-A, 2015.
  8. J. J. Griebel, G. X. Li, R. S. Glass, K. Char and J. Pyun, J. Polym. Sci., Part A: Polym. Chem., 2015, 53, 173–177 CrossRef CAS.
  9. (a) D. Salnikov, I. Gorodisher and R. J. Webb, WO2014052255-A1, 2013; (b) D. Salnikov, I. Gorodisher and R. J. Webb, KR2015065751-A, 2013; (c) D. Salnikov, I. Gorodisher and R. J. Webb, EP2900731-A1, 2013; (d) D. Salnikov, I. Gorodisher and R. J. Webb, US2015218429-A1, 2015; (e) D. Salnikov, I. Gorodisher and R. J. Webb, CN104781308-A, 2013; (f) D. Salnikov, I. Gorodisher and R. J. Webb, JP2015530462-W, 2013.
  10. M. Arslan, B. Kiskan and Y. Yagci, Macromolecules, 2016, 49, 767–773 CrossRef CAS.
  11. A. W. Kawaguchi, A. Sudo and E. Takeshi, ACS Macro Lett., 2013, 2, 1–4 CrossRef CAS.
  12. S. Bektas, B. Kiskan, N. Orakdogen and Y. Yagci, Polymer, 2015, 75, 44–50 CrossRef CAS.
  13. I. Gorodisher, R. J. DeVoe and R. J. Webb, Handbook of Benzoxazine Resins, ed. H. Ishida and T. Agag, Elsevier Science Bv, Amsterdam, 2011 Search PubMed.
  14. H. D. Kim and H. Ishida, J. Appl. Polym. Sci., 2001, 79, 1207–1219 CrossRef CAS.
  15. S. B. Shen and H. Ishida, Polym. Compos., 1996, 17, 710–719 CrossRef CAS.
  16. C. H. Lin, S. X. Cai, T. S. Leu, T. Y. Hwang and H. H. Lee, J. Polym. Sci., Part A: Polym. Chem., 2006, 44, 3454–3468 CrossRef CAS.
  17. H. Ishida and D. J. Allen, J. Polym. Sci., Part B: Polym. Phys., 1996, 34, 1019–1030 CrossRef CAS.
  18. P. Velez-Herrera, K. Doyama, H. Abe and H. Ishida, Macromolecules, 2008, 41, 9704–9714 CrossRef CAS.
  19. P. Froimowicz, C. Rodriguez Arza, S. Ohashi and H. Ishida, J. Polym. Sci., Part A: Polym. Chem., 2016, 54, 1428–1435 CrossRef CAS.
  20. M. Comi, G. Lligadas, J. C. Ronda, M. Galia and V. Cadiz, J. Polym. Sci., Part A: Polym. Chem., 2013, 51, 4894–4903 CrossRef CAS.
  21. B. Meyer, Chem. Rev., 1976, 76, 367–388 CrossRef CAS.
  22. S. Penczek, R. Slazak and A. Duda, Nature, 1978, 273, 738–739 CrossRef CAS.
  23. A. Duda and S. Penczek, Macromolecules, 1982, 15, 36–40 CrossRef CAS.
  24. C. Rodriguez Arza, P. Froimowicz and H. Ishida, RSC Adv., 2015, 5, 97855–97861 RSC.
  25. Handbook of Benzoxazine Resins, ed. H. Ishida and T. Agag, Elsevier Science Bv, Amsterdam, 2011 Search PubMed.
  26. A. K. Jain, A. Gupta, R. Bohra, I. P. Lorenz and P. Mayer, Polyhedron, 2006, 25, 654–662 CrossRef CAS.
  27. B. Zhang, S. Li, E. Herdtweck and F. E. Kuhn, J. Organomet. Chem., 2013, 739, 63–68 CrossRef CAS.
  28. R. Andreu, M. Galia, V. Cadiz, G. Lligadas, J. A. Reina and J. C. Ronda, J. Polym. Sci., Part A: Polym. Chem., 2013, 51, 5075–5084 CrossRef CAS.
  29. R. Andreu, I. A. Reina and J. C. Ronda, J. Polym. Sci., Part A: Polym. Chem., 2008, 46, 3353–3366 CrossRef CAS.
  30. R. E. Davis and H. Nakshben, J. Am. Chem. Soc., 1962, 84, 2085–2090 CrossRef CAS.
  31. J. Dunkers and H. Ishida, J. Polym. Sci., Part A: Polym. Chem., 1999, 37, 1913–1921 CrossRef CAS.

This journal is © The Royal Society of Chemistry 2016
Click here to see how this site uses Cookies. View our privacy policy here.