A strained alkyne-containing bipyridine reagent; synthesis, reactivity and fluorescence properties†
Abstract
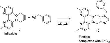
We report the synthesis of a bipyridyl reagent containing a strained alkyne, which significantly restricts its flexibility. Upon strain-promoted alkyne-azide cycloaddition (SPAAC) with an azide, which does not require a Cu catalyst, the structure becomes significantly more flexible and an increase in fluorescence is observed. Upon addition of Zn(II), the fluorescence is enhanced further. The reagent has the potential to act as a fluorescent labelling agent with azide-containing substrates, including biological molecules.
- This article is part of the themed collection: Contributions from the chemical industry

Please wait while we load your content...