Influence of particle orientation, concentration and matrix stiffness on the elastocaloric performance of spin crossover composite materials
Abstract
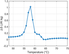
Recently, barocaloric effects in spin-crossover (SCO) materials have received much attention for solid-state cooling applications. Despite significant advancements, real world applications remain challenging due to the lack of barocaloric device concepts. For this reason, it appears interesting to explore alternative mechanocaloric effects with SCO materials. In particular, several prototype devices have been already demonstrated relying on the elastocaloric (eC) effect. To explore the eC performance of SCO materials, we investigated composite films made of [FeII(4-NH2-1,2,4-triazole)3]SO4 particles embedded in different thermoplastic polyurethane polymer matrices. These films exhibit a notable eC response when subjected to uniaxial tensile stress, resulting in a measurable entropy change (ca. 1 J kg−1 K−1) and a very appealing eC strength (ca. 2 J kg−1 K−1 MPa−1). We studied the impact of different parameters such as matrix stiffness, particle orientation and concentration on the resulting entropy change. The most effective parameter to enhance the eC performance is the orientation of the SCO particles due to the strong anisotropy of the transformation strain. Due to the low applied stress, the transformation is largely incomplete and the concentration plays thus a minor role. The results indicate that even for a complete transformation the optimum concentration does not necessarily coincide with the maximum possible particle load or with the maximum strain. The analysis of the matrix stiffness reveals a critical issue: while a stiff matrix allows higher stress to be applied, it strongly reduces the strain associated with the spin transition. In contrast, a soft matrix promotes larger transformation strain, but cannot withstand enough stress. These findings provide important insights into the complex trade-offs that one needs to consider for further progress in the development of elastocaloric applications of SCO materials for solid-state refrigeration technologies.
- This article is part of the themed collection: Journal of Materials Chemistry C HOT Papers

Please wait while we load your content...