Metal–ligand covalency of C–H activating iridium complexes from L-edge valence-to-core resonant inelastic X-ray scattering
Abstract
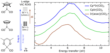
The electronic structure of iridium carbonyl complexes is known to be fundamental to their ability to activate alkane C–H bonds following UV photolysis. Here, we investigate three prototypical iridium complexes with different ancillary ligands using valence-to-core resonant inelastic X-ray scattering measurements at the Ir L3-edge in combination with optical absorption spectroscopy and calculations based on time-dependent density functional theory. We characterize experimentally how the nature and degree of metal–ligand hybridization impact valence-excited state energetics as well as how changes in ionic vs. covalent metal–ligand interactions for different ancillary ligands modulate charge densities at the central metal atom. The selectivity of our methods to the valence-excited state manifold allows us to observe and quantify shifts in the d–d and charge-transfer manifold of excited-states, which are both thought to influence the yield of photochemical C–H bond activation. Our combined experimental and theoretical study of this series of iridium complexes reveals the interplay of ligand structure, metal–ligand bonding or covalency and valence-excited state landscape, which allows to deduce a general understanding of how these properties impact photochemical pathways and reactivity in C–H activation and other photocatalytic applications.

Please wait while we load your content...