Discovery and optimization of pyrrolopyrimidines as highly potent, selective and brain-penetrant LRRK2 inhibitors
Abstract
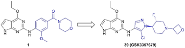
Leucine-rich repeat kinase 2 (LRRK2) is a promising therapeutic target for Parkinson's disease. We report herein the discovery of pyrrolopyrimidine analogs as potent and selective LRRK2 kinase inhibitors. Elucidation of the structure–activity relationship (SAR) of the kinase-inhibitor-focused screening lead compound 1 led to the development of compound 39 (GSK3357679) that shows excellent cellular potency, oral bioavailability, brain-penetration, and excellent PK/PD correlation in animal studies. The SAR optimization of the biological and pharmacokinetic profiles of the compounds are described. The pharmacodynamic characteristics for extended oral dosing studies in rodents are also presented.

Please wait while we load your content...