TCR parameter study for examining the possibility of the usefulness of perovskite Pr0.8K0.2−xNaxMnO3 (x = 0.0, 0.05 and 0.1) systems for thermistor and bolometer applications
Abstract
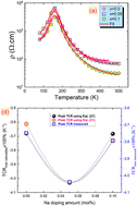
We report a comprehensive experimental and theoretical investigation of the electrical transport properties in Pr0.8K0.2−xNaxMnO3 (x = 0.0, 0.05, and 0.1) compounds synthesized via the sol–gel route. Temperature-dependent resistivity measurements revealed a robust and composition-independent metal–semiconductor transition (TM–SC ≈ 160 K), an uncommon behavior for chemically substituted manganites. The transport characteristics were quantitatively examined using multiple conduction frameworks, including percolation theory, small-polaron hopping (SPH), and Mott variable-range hopping (VRH). These approaches enabled the extraction of activation energies, hopping exponents, charge-carrier localization parameters, and disorder-related scaling factors. Among the tested models, percolation theory yielded the most consistent description of the semiconducting regime across all samples. Temperature coefficient of resistance (TCR) values, calculated within phase-separation and phase-coexistence transport schemes, exhibited pronounced enhancement in the 180–200 K interval. The combined modeling-driven analysis demonstrated that Na substitution substantially modulated the intrinsic electronic transport parameters—even while preserving a fixed transition temperature—establishing these compositions as promising candidates for high-performance uncooled bolometric infrared sensing.

Please wait while we load your content...