Dissociative charge transfer through a conical intersection: quantum thermal rate constants up to 1000 K for the He+ + H2 → He + H + H+ reaction

Abstract

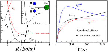
In this work, a previous quantum wave-packet time-dependent study (D. De Fazio, A. Aguado and C. Petrongolo, Non-adiabatic quantum dynamics of the dissociative charge transfer He+ + H2 → He + H + H+. Front. Chem., 2019, 7, A249) on the charge-transfer dissociation of the hydrogen molecule by the helium cation is continued, extending the calculation to eight rotational H2 reactant states. New data are required to obtain convergent (within about 1 percent) Boltzmann-averaged thermal rate constants up to 1000 Kelvin, which are necessary to provide reliable reaction yields for astrophysical and cosmological computational models. To the best of our knowledge, these are the first quantum mechanical thermal rate constant calculations for a dissociative charge transfer process. As shown in the previous work for the effect of vibrations, a relevant role of rotations is found, and the use of roto-vibrational ground state rate constant only, as often employed in astrophysical model is a poor approximation, especially above room temperature. The large computational scaling of wave-packet methods for excited rotational reactant states, due to the linear increase of the number of projections of the diatomic rotational angular momentum along the internuclear axis, is handled efficiently in the calculations, providing an accurate documentation for developing approximations that are needed to extend the calculations to higher temperatures. A particular effort has been made to better clarify the reaction mechanism, which indicated the key roles of the geometrical phase and non-adiabatic effects. Additionally, the rich resonance pattern, which is the principal reaction mechanism at these temperatures and represents the main source of the computational load, is analyzed and rationalized in detail according to the resonance analysis.

Graphical abstract: Dissociative charge transfer through a conical intersection: quantum thermal rate constants up to 1000 K for the He+ + H2 → He + H + H+ reaction

Supplementary files

Article information

Article type
Paper
Submitted
17 Dec 2025
Accepted
10 Feb 2026
First published
02 Mar 2026

Phys. Chem. Chem. Phys., 2026, Advance Article

Dissociative charge transfer through a conical intersection: quantum thermal rate constants up to 1000 K for the He+ + H2 → He + H + H+ reaction

D. De Fazio, V. Aquilanti and C. Petrongolo, Phys. Chem. Chem. Phys., 2026, Advance Article , DOI: 10.1039/D5CP04927J

To request permission to reproduce material from this article, please go to the Copyright Clearance Center request page.

If you are an author contributing to an RSC publication, you do not need to request permission provided correct acknowledgement is given.

If you are the author of this article, you do not need to request permission to reproduce figures and diagrams provided correct acknowledgement is given. If you want to reproduce the whole article in a third-party publication (excluding your thesis/dissertation for which permission is not required) please go to the Copyright Clearance Center request page.

Read more about how to correctly acknowledge RSC content.

Social activity

Spotlight

Advertisements