Urinary Metabolomic Characterization of Meclofenoxate Based on UHPLC-Q Exactive HF Orbitrap MS Technology

Abstract

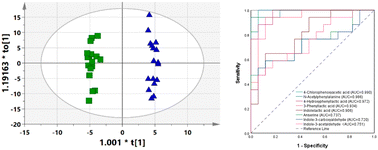
To investigate the characteristics of changes in human urine metabolites of meclofenoxate by using metabolomics technology based on ultra performance liquid chromatography-Q Exactive HF Orbitrap mass spectrometry (UHPLC-Q Exactive HF Orbitrap MS) and to search for the identification of biomarkers related to drug effects. Seventeen healthy college students were selected as experimental subjects, and urine samples were collected from the subjects before and after taking the drug, respectively. The data were subjected to multivariate statistical analysis after format conversion, peak detection, and normalization, and screening of differential metabolites and database search were performed to identify potential biomarkers and metabolic pathway analysis. Orthogonal Partial Least Squares Discriminant Analysis (OPLS-DA) demonstrated significant intergroup differences in the metabolites of urine samples before and after the administration of meclofenoxate, and further screened for eight major potential biomarkers (VIP > 1 and P < 0.01), and the main metabolic pathways involve histidine metabolism, β-alanine metabolism, phenylalanine metabolism, etc. The results of the study can help to provide a theoretical basis for the application and diagnosis of meclofenoxate.

Article information

Article type
Paper
Submitted
20 Dec 2025
Accepted
11 Feb 2026
First published
26 Feb 2026

Analyst, 2026, Accepted Manuscript

Urinary Metabolomic Characterization of Meclofenoxate Based on UHPLC-Q Exactive HF Orbitrap MS Technology

B. Liu, W. Xu, T. Zheng, Q. Z. Li and J. Zhao, Analyst, 2026, Accepted Manuscript , DOI: 10.1039/D5AN01344E

To request permission to reproduce material from this article, please go to the Copyright Clearance Center request page.

If you are an author contributing to an RSC publication, you do not need to request permission provided correct acknowledgement is given.

If you are the author of this article, you do not need to request permission to reproduce figures and diagrams provided correct acknowledgement is given. If you want to reproduce the whole article in a third-party publication (excluding your thesis/dissertation for which permission is not required) please go to the Copyright Clearance Center request page.

Read more about how to correctly acknowledge RSC content.

Social activity

Spotlight

Advertisements