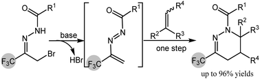
[4 + 2] Cycloaddition of α-bromotrifluoromethylhydrazone with alkenes: synthesis of trifluoromethyltetrahydropyridazines†
Abstract
A catalyst-free [4 + 2] cyclization process between trifluoromethyl-containing 1,2-diazabuta-1,3-diene and simple olefins was developed by in situ generation. Under mild conditions, trifluoromethyl-containing 1,4,5,6-tetrahydropyridazine compounds were obtained, in high yields (up to 96% yields).

Please wait while we load your content...