Insights into the antioxidant activity and metal chelation capacity of natural marine bromophenols: role of C–O–C and C–C linkages and the catechol group†
Abstract
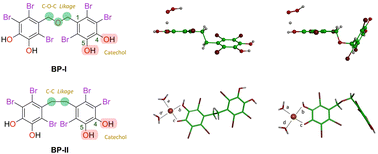
Marine algae are an important source of phenolic compounds with multiple biological applications. Among them, bromophenols (BPs) show remarkable antioxidant activity in vitro, although their mechanisms of action remain poorly elucidated. In this study, we used density functional theory (DFT) calculations to explore in detail the antioxidant mechanism of two natural BPs (BP-I and BP-II), differing only in the bond linking their phenolic groups (C–O–C vs. C–C). The results revealed that both compounds are effective HOO˙ scavengers in lipid media, with respective rate constants of 2.40 × 102 and 1.76 × 103 M−1 s−1, the BP-II derivative (C–C bond) proving more reactive than its BP-I counterpart (C–O–C bond). In aqueous media, their reactivity was comparable with high-rate constants of 1.96 × 109 and 2.04 × 109 M−1 s−1 but dependent on their protonation state. This high scavenging capacity is attributed to the deprotonated catechol group. In addition, both BPs showed a high chelation affinity for Cu(II) ions, suggesting a secondary antioxidant activity (inhibition of free radical production through metal sequestration). This study sheds light on the antioxidant mechanisms of marine BPs and highlights the impact of the nature of the interphenolic bond (C–O–C or C–C) as well as the catechol group on their efficacy.

Please wait while we load your content...