Tuning frontier orbital energies of the TTBrM-PPTA radical via electron donor and acceptor substituents
Abstract
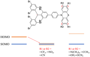
The radical TTBrM-PPTA (a) exhibits a SOMO–HOMO inversion (SHI) electronic structure, in which the singly occupied molecular orbital (SOMO) lies below the highest doubly occupied orbital (HOMO). To investigate the modulation of this unique electronic structure, a series of TTBrM-PPTA-based radicals were designed by introducing various electron-donating (–N(CH3)2, –OCH3, –OH and –C(CH3)3) and electron-withdrawing groups (–CF3, –NO2 and –CN) into the PPTA moiety. Density functional theory calculations reveal that these substituents can modulate the SOMO–HOMO gap and, in some cases, even alter the ordering of the frontier orbital energies. Overall, the SOMO remains unaffected upon substitution, while the electron-withdrawing groups reduce the α-HOMO, and the electron-donating groups raise it relative to the TTBrM-PPTA radical. Notably, substituents with lower adiabatic ionization potentials (AIPs), which are typically electron-donating groups, enhance SHI behavior by facilitating spatial separation between the HOMO and the LUMO. These findings demonstrate the effectiveness of the secondary electron-donating substituents in tuning frontier molecular orbital energy levels and provide a promising strategy for developing SHI-type luminescent organic radicals.

Please wait while we load your content...