Regio- and stereoselective synthesis of 5-(trichloromethyl)-isoxazolines
Abstract
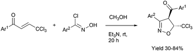
A regio- and stereoselective synthesis of 5-(trichloromethyl)-isoxazolines has been developed based on the reaction of CCl3-enones with aromatic hydroxamoyl chlorides. The method proceeds under mild, metal-free conditions and allows for the efficient formation of non-aromatic isoxazoline derivatives. Notably, the reactions predominantly yield the trans-isomer, as confirmed by X-ray crystallography. The influence of electronic effects from substituents on both dipolarophiles and nitrile oxide precursors was systematically studied. The structures of all products were fully characterized using NMR spectroscopy, HRMS, and X-ray diffraction. This approach provides a convenient route to functionalized isoxazolines containing the CCl3 group, which are challenging to access by conventional methods.

Please wait while we load your content...