Developing selective access to P(v)/(v) and a heteroatom-bridged P(iii)P(v) 1,4-diphosphabarrelene(s) using a 1,4-diphosphinine
Abstract
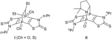
1,4-Diphosphabarrelene dioxides and disulfides have been directly synthesized from C-functional 1,4-diphosphabarrelenes. Additionally, a tricyclic 1,4-diphosphinine enabled access to both a P(V)/(V) derivative using cyclohexene sulfide and the first heteroatom-bridged P(III)/(V) 1,4-diphosphabarrelene via an oxidative cycloaddition with 5,5-dimethylpyrroline N-oxide.

Please wait while we load your content...