How could ratiometric thermometry with thermally activated delayed fluorescent (TADF) emitters practically work?
Abstract
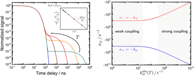
Luminescence is a temperature-dependent phenomenon. That fundamental property can be used to gain information about the local temperature around a phosphor, which resulted in the development of luminescence thermometry. While this remote temperature sensing technique has gained extensive interest within the field of inorganic phosphors, thermally activated delayed fluorescent (TADF) emitters have so far only been scarcely considered for this application. Within this work, guidelines on the most effective usage of TADF emitters as potential luminescent thermometers are elaborated and what sets them apart from alternative inorganic emitters. It is demonstrated that the dynamic working range of such conceptualized thermometers is dominated by the interplay between the (reverse) intersystem crossing and the radiative decay constants of the emissive states of interest. Pioneering foundations laid by Christel Marian's group are decisive in a more fundamental understanding of the design of such emitters for luminescence thermometry.
- This article is part of the themed collection: Festschrift for Christel Marian
 
                




 Please wait while we load your content...
                                            Please wait while we load your content...
                                        
