Size- and shape-selective substrate deuteration catalyzed by a water-soluble synthetic receptor
Abstract
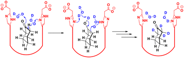
Encapsulation of cyclic alkanones in a water-soluble deep cavitand enables the selective deuteration of substrates. The biomimetic host can selectively and catalytically α-deuterate cycloalkanones in aqueous solution under mild conditions. The guests can turnover, allowing reaction to occur with as little as 3% cavitand as catalyst, and the process is size-, shape-, site- and carcero-selective; reaction occurs in the cavity alone, and only with protons in close proximity to the cavitand walls.

Please wait while we load your content...