Electrochemical copolymerization of 3,4-ethylenedioxythiophene and dithienothiophene: influence of feed ratio on electrical, optical and electrochromic properties†
Abstract
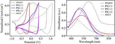
Designing a copolymer is an efficient and alternative method to generate new chemical and physical properties compared to parent homopolymers without complex synthesis and structural modification. We herein report the electrochemical deposition of copolymer using two monomers 3,4-ethylenedioxythiophene (EDOT) and dithieno[3,2-b:2′,3′-d]thiophene (DTT). Three different copolymers P[EDOT-co-DTT] were synthesized by using different feed ratios of monomers (EDOT and DTT molar ratios in solution are 2 : 1, 1 : 1 and 1 : 2) in acetonitrile containing 0.1 M tetrabutylammonium perchlorate (TBAClO4) as a supporting electrolyte. Fourier transform infrared spectroscopy (FTIR), Raman spectroscopy and UV-vis-NIR spectroscopy were employed to characterize the obtained copolymers. Energy dispersive X-ray spectroscopy (EDX) analysis was used to estimate the composition of EDOT and DTT units in copolymers. The electrochemical and morphological properties were analyzed using cyclic voltammetry (CV) and field emission scanning electron microscopy (FESEM). In situ spectroelectrochemistry and electrochromic studies were performed to investigate the optical and switching properties of the resultant copolymers. The homopolymers poly(3,4-ethylenedioxythiophene) (PEDOT) and polydithieno[3,2-b:2′,3′-d]thiophene (PDTT) were also prepared using similar electrochemical conditions and made comparisons where applicable. Computational calculations were done to understand the structure and energy levels of these polymers. It was found that these copolymers P[EDOT-co-DTT] show new properties as compared to homopolymers PEDOT and PDTT for organic electronic applications. Interesting to note that the resultant copolymers display the property of tunable electrochromism with improved transmittance and redox color change between the neutral and oxidized states.

Please wait while we load your content...