Effects of Mn doping on electronic and quantum transport in PbPdO2 thin films†
Abstract
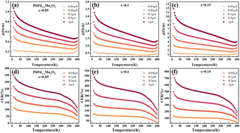
PbPdO2, a gapless semiconductor, can be transformed into a spin gapless semiconductor structure by magnetic ion doping. This unique band-gap structure serves as the foundation for its distinctive physical properties. In this study, PbPd1−xMnxO2 (x = 0.05, 0.1, 0.15) thin films with (002) preferred orientation were prepared by laser pulse deposition (PLD). The structural, electroresistive and magnetoresistive properties were systematically characterized, and the results suggest that films with different Mn doping ratios exhibit a current-induced positive colossal electroresistance (CER), and the CER values of PbPd1−xMnxO2 thin films increase with the increase of Mn doping concentration. The CER values are several fold magnitudes higher compared to those of the previously reported PbPdO2 films possessing identical (002) orientation. Combined with first-principles calculation, the underlying influence mechanism of Mn doping on CER is elucidated. In situ X-ray photoelectron spectroscopy (XPS) demonstrates a close correlation between the positive CER and the band gap change induced by oxygen vacancies in PbPd1−xMnxO2. Additionally, it is observed that Mn-doped films exhibit weak localization (WL) and weak anti-localization (WAL) quantum transport. Moreover, it is found that Mn doping can lead to a transition from WAL to WL; a small amount of Mn doping significantly enhances the weak anti-localization effect. However, with increasing Mn concentration, the WAL effect is conversely weakened. The results of studies suggest strongly that PbPdO2, one of the few oxide topological insulators, can display novel quantum transport behavior by ion doping.

Please wait while we load your content...