Dynamic response of a ferromagnetic nanofilament under rotating fields: effects of flexibility, thermal fluctuations and hydrodynamics
Abstract
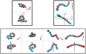
Using nonequilibrium computer simulations, we study the response of ferromagnetic nanofilaments, consisting of stabilized one dimensional chains of ferromagnetic nanoparticles, under external rotating magnetic fields. In difference with their analogous microscale and stiff counterparts, which have been actively studied in recent years, nonequilibrium properties of rather flexible nanoparticle filaments remain mostly unexplored. By progressively increasing the modeling details, we are able to evidence the qualitative impact of main interactions that can not be neglected at the nanoscale, showing that filament flexibility, thermal fluctuations and hydrodynamic interactions contribute independently to broaden the range of synchronous frequency response in this system. Furthermore, we also show the existence of a limited set of characteristic dynamic filament configurations and discuss in detail the asynchronous response, which at finite temperature becomes probabilistic.

Please wait while we load your content...