Coil–globule transition in two-dimensional polymer chains in an explicit solvent
Abstract
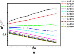
The structure of two-dimensional polymer chains in a solvent at different temperatures is still far from being fully understood. Computer simulations of high-density macromolecular systems require the use of appropriate algorithms, and therefore the simulations were carried out using the Cooperative Motion Algorithm. The polymer model studied was exactly two-dimensional, coarse-grained and based on a triangular lattice. The theta temperature and temperature of coil-to-globule transition, and critical exponents were determined. The differences between the structure of such a disk and that of a chain in a dense polymer liquid were shown.

Please wait while we load your content...