Crystal growth, phase transition, and nuclear magnetic resonance of organic–inorganic hybrid perovskite NH2(CH3)2CdCl3†
Abstract
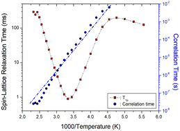
Understanding the physicochemical properties of organic–inorganic hybrid materials is essential to promote their applications. In this study, a single crystal of NH2(CH3)2CdCl3 was grown, and it exhibited a monoclinic structure. Its phase transition temperatures were 460 and 470 K, and it showed sufficient thermal stability. The changes in the NMR chemical shifts of each atom in the crystal with increasing temperature were determined; the chemical shift of 1H of NH2 in the NH2(CH3)2 cation changed with temperature, which was correlated to the changes in the chemical shift of 14N in NH2. The change in 113Cd chemical shifts indicate the change of six Cl atoms around Cd in CdCl6. Therefore, the change in the coordination geometry of CdCl6 is attributed to the change in the N–H⋯Cl hydrogen bond between the NH2(CH3)2 cation and CdCl6 anion. In addition, the 13C activation energies Ea obtained from the spin-lattice relaxation time T1ρ values are smaller than those of the 1H Ea values, suggesting that is free compared to 1H in the cation. We believe that this study furthers our fundamental understanding of organic–inorganic hybrid materials to promote their practical solar cell applications.

Please wait while we load your content...