Passivation of precipitation-hardened UNS N07718 in a shallow sour aqueous solution
Abstract
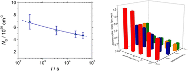
Passivation of precipitation-hardened UNS N07718 in 5 wt% NaCl + 0.5 wt% CH3COOH was investigated. Cyclic potentiodynamic polarisation revealed that the alloy surface was passivated without active-passive transition behaviour. The alloy surface was in a stable passive state during potentiostatic polarisation at 0.5 VSSE for 12 h. Bode and Mott–Schottky plots showed that the passive film became electrically resistive and less defective with n-type semiconductive properties during the polarisation. X-ray photoelectron spectra revealed that Cr- and Fe-enriched hydro/oxide layers were formed on the outer and inner layers of the passive film, respectively. The thickness of the film was almost constant with the increase of the polarisation time. The outer Cr-hydroxide layer changed into a Cr-oxide layer during the polarisation, resulting in a decreased donor density in the passive film. The film's composition change during the polarisation should be related to the corrosion resistance of the alloy in the shallow sour conditions.

Please wait while we load your content...