Wrinkling and restabilization of a hyperelastic PDMS membrane at finite strain†
Abstract
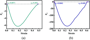
Wrinkles are commonly observed in uniaxially stretched hyperelastic membranes and eventually disappear with the increase of stretching. The widely used scheme at present assumes the material parameters to be empirical values and straightforwardly considers some constitutive models to explore the wrinkling and restabilization behavior. However, this simple treatment may cause deviation from experiment by ignoring the applicability of the models and the authenticity of the input parameters, prompting us to report based on realistic material parameters. This paper presents an experimental, theoretical and numerical investigation on the wrinkling and restabilization behavior of hyperelastic materials. By fitting experimental stress–strain curves of PDMS films, we confirm that the 3-term Ogden model bears a closer resemblance to the experimental data than the widely used neo-Hookean, Mooney–Rivlin, and Arruda–Boyce models under certain circumstances. The simulation results indicate that different constitutive models quantitatively affect the critical buckling strain, wrinkling amplitudes, and restabilization points. Furthermore, the isolated central bifurcation point solved by Koiter stability theory agrees well with the simulation and experimental results. A 3D phase diagram of stability boundaries was established to gain a comprehensive insight into the effects of geometric parameters (length, width, and thickness) on wrinkling.

Please wait while we load your content...