The effect of composition on phonon softening in ABO3-type perovskites: DFT modelling
Abstract
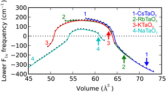
The evolution of ferroelectric instability in ABO3 perovskites is systematically investigated for tantalates, niobates and titanates at the hybrid density-functional theory level. The influence of the A cation is analysed in terms of the frequency of the lowest F1u IR-active phonon mode at different volumes for (Cs, Rb, K, Na)TaO3, (Ba, Pb, Sn, Ge)TiO3 and (Rb, K, Na, Li)NbO3 and correlated with the ionic radius as well as the degree of hybridization in the bonds. The atomic displacement corresponding to each mode is described as a function of volume, and the static permittivity is calculated for the stable Pm
m phases. It is shown that the amplitude of the atomic displacements associated with the soft mode linked to the ferroelectric instability increases at a given volume when the ionic radius of the cation A decreases and when the hybridization of the B–O bond increases. This provides criteria for optimizing the dielectric properties of materials and for suggesting effective solid solutions. Tantalum perovskites presenting para-ferroelectric phase transitions, some of which are close to ambient conditions, are interesting materials for high-permittivity dielectrics in view of lead-free compounds with a high static dielectric response.
- This article is part of the themed collection: 2022 PCCP HOT Articles

Please wait while we load your content...