Understanding the effect of thiophene sulfur on brominated petroleum coke for elemental mercury capture from flue gases
Abstract
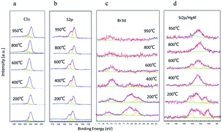
Developing highly efficient and inexpensive adsorbent is a critical technology for elemental Hg removal from the coal combustion flue gases worldwide. Here, we present a novel approach that a waste by-product of petroleum coke containing organic sulfur enhanced bromine binding during the bromine modification process and the brominated petroleum coke increased its mercury adsorption. Experiments and density functional theory reveal that the mercury adsorption capacity directly correlated with the surface organic sulfur and the binding bromine content. Our direct observations and theoretical modeling demonstrate that HgBr and Hg(Br) Br are the primary chemical forms chemisorbed on the surface of this new carbon-based sorbent, which is approaching to bind on the carbon site next to the S atom. The synergetic effect of the inherent thiophene sulfur and loaded bromine enhanced the Hg removal efficiency of the adsorbent.

Please wait while we load your content...