Thermal decomposition of cyclohexane by flash pyrolysis vacuum ultraviolet photoionization time-of-flight mass spectrometry: a study on the initial unimolecular decomposition mechanism†
Abstract
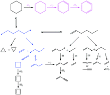
Thermal decomposition of cyclohexane at temperatures up to 1310 K was performed using flash pyrolysis coupled with vacuum ultraviolet (118.2 nm) photoionization time-of-flight mass spectrometry. The experimental results revealed that the major initiation reaction of cyclohexane decomposition was C–C bond fission leading to the formation of 1,6-hexyl diradical. The 1,6-hexyl diradical could isomerize to 1-hexene and decompose into ˙C3H7 + ˙C3H5 and ˙C4H7 + ˙C2H5. The 1,6-hexyl diradical could also undergo direct dissociation; the C4H8 fragment via the 1,4-butyl diradical intermediate was observed, serving as evidence of the 1,6-hexyl diradical mechanism. Quantum chemistry calculations at UCCSD(T)/cc-pVDZ level of theory on the initial reaction pathways of cyclohexane were performed and found to be consistent with the experimental conclusions. Cyclohexyl radical was not observed as an initial intermediate in the pyrolysis. Benzene was produced from sequential H2 eliminations of cyclohexane at high temperatures.
 
                




 Please wait while we load your content...
                                            Please wait while we load your content...
                                        
