An oxo-verdazyl radical for a symmetrical non-aqueous redox flow battery†
Abstract
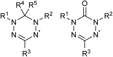
Verdazyl free radical compounds are promising candidates for symmetrical all-organic redox flow batteries (RFBs) due to their redox stability, the ease with which their chemical structure can be varied, and their unique bipolar nature. The present work reports a preliminary screening of a selection of oxo-verdazyl compounds for key redox electrolyte parameters. Of the considered candidates, the 1,5-diphenyl-3-isopropyl-6-oxo-verdazyl radical performed best and is investigated in extensive RFB experiments to compare its electrochemical behavior in cyclic voltammetry (CV) to that within an actual battery. The symmetrical oxo-verdazyl non-aqueous electrolyte RFB provides a mean voltage of 1.42 V and demonstrates good stability as well as high coulombic (>97%) and energy efficiencies over more than 100 charge/discharge cycles. The redox electrolyte is characterized at different stages within a single cycle (‘state of charge’ experiments) independently for each half-cell. To address the specifics of the electrolyte transition to RFB cell setup an ‘in-cell’ CV flow-enabled electrochemical study has been conducted, introduced here as a new step towards standardization of the electrochemical description of RFB electrolytes. The electrochemical performance results highlight oxo-verdazyls as versatile materials for energy applications and indicate great promise for their further development and optimization in the field of RFBs.

Please wait while we load your content...