Exposure risk assessment of nine metal elements in Chongqing hotpot seasoning
Abstract
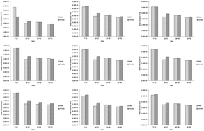
Atomic absorption spectrometry (AAS) and atomic fluorescence spectrometry (AFS) were used to analyze the contents of nine metal elements (Pb, As, Hg, Cd, Cr, Fe, Mn, Cu, Zn) in 100 groups of Chongqing hotpot seasoning (CHS). Meanwhile, Crystal Ball software based on Monte Carlo simulation technology was used to assess the exposure risk of the nine metal elements in CHS for people of different ages in Chongqing. In general, the average Hazard Index (HI) of the nine metal elements is 0.306 < 1, indicating no non-carcinogenic risks from these nine elements for inhabitants of Chongqing under the current consumption level of CHS. Children (ages 7–13) and adult women have higher chronic daily intake (CDI) than adult males. The carcinogenic risk of Pb, As and Cd are within the acceptable risk level (10−6 to 10−4). The sensitivity analysis suggests that the contents of the nine metal elements and daily intake (PIR) in CHS were positively correlated with the risk index, while the body weight was negatively correlated with the risk index. This study provides a scientific basis for guiding the safe consumption of Chongqing hotpot, and provides a theoretical basis for the development of safety-compliant CHS quality standards.

Please wait while we load your content...