Natural disesquiterpenoids: an update†
Abstract
Covering: July 2010 to August 2019. Previous review: Nat. Prod. Rep., 2011, 28, 594
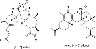
The review covers recent progress on the isolation, identification, bioactivity and biomimetic synthesis of natural dimeric sesquiterpenoids, along with a detailed discussion of the biogenesis of these metabolites. Structural revisions are included.

Please wait while we load your content...