Thermal and structural properties, and molecular dynamics in organic–inorganic hybrid perovskite (C2H5NH3)2ZnCl4
Abstract
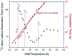
The thermal and structural properties and molecular dynamics of layered perovskite-type (C2H5NH3)2ZnCl4 are investigated by differential scanning calorimetry, thermogravimetric analysis, and magic angle spinning nuclear magnetic resonance spectroscopy. The thermal properties and phase transitions are studied. Additionally, the Bloembergen–Purcell–Pound (BPP) curves for the 1H spin–lattice relaxation time T1ρ in the C2H5NH3 cation and for the 13C T1ρ in C2H5 are shown to have minima as a function of inverse temperature. This observation implies that these curves represent the rotational motions of 1H and 13C in the C2H5NH3 cation. The activation energies for 1H and 13C in the C2H5NH3 cation are obtained; the molecular motion of 1H is enhanced at the C-end and N-end of the organic cation, and that at the carbons of the main chain is not as free as that for protons at the C-end and N-end.

Please wait while we load your content...