Anomalous behavior above the Curie temperature in (Nd1−xGdx)0.55Sr0.45MnO3 (x = 0, 0.1, 0.3 and 0.5)
Abstract
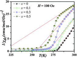
Magnetic properties were studied just above the ferromagnetic–paramagnetic (FM–PM) phase transition of (Nd1−xGdx)0.55Sr0.45MnO3 with x = 0, 0.1, 0.3 and 0.5. The low-field inverse susceptibility (χ−1) of Nd0.55Sr0.45MnO3 exhibits a Curie–Weiss-PM behavior. For x ≥ 0.1, we observe a deviation in χ−1(T) behavior from the Curie–Weiss law. The anomalous behavior of the χ−1(T) was qualified as Griffiths phase (GP)-like. The study of the evolution of the GP through a susceptibility exponent, the GP temperature and the temperature range of the GP reveals that the origin of the GP is primary due to the accommodated strain. Likewise, the magnetic data reveal distinct features visible only for x = 0.5 at a low magnetic field that can be qualitatively understood as the result of ferromagnetic polarons, entailed by the strong effect of chemical/structural disorder, whose concentration increases upon cooling towards the Curie temperature. We explained the magnetic properties at a high temperature for the heavily Gd-doped sample (x = 0.5) within the phase-separation scenario as an assembly of ferromagnetic nanodomains, antiferromagnetically coupled by correlated Jahn–Teller polarons.

Please wait while we load your content...