Chemical vapour deposition of chromium-doped tungsten disulphide thin films on glass and steel substrates from molecular precursors
Abstract
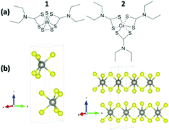
Polycrystalline thin films of chromium doped tungsten disulphide (WS2) have been deposited onto glass and steel substrates by Aerosol-Assisted Chemical Vapour Deposition (AACVD) using bis(diethyldithiocarbamato)disulfidothioxo tungsten(VI) (WS3L2) and tris(diethyldithiocarbamato) chromium(III) [Cr(S2CNEt2)3] (CrL3) complexes as precursors in different molar ratios at 450 °C. The deposited films were characterised by p-XRD, SEM, and EDX and Raman spectroscopies. Chromium doping of up to 15 mol% was achieved in WS2 thin films.

Please wait while we load your content...