Issue 3, 2017

N-Heterocyclic carbene-catalyzed oxidative [3 + 2] annulation of dioxindoles and enals: cross coupling of homoenolate and enolate

Abstract

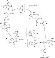
The N-heterocyclic carbene-catalyzed oxidative [3 + 2] annulation of dioxindole and enals was developed, giving the corresponding spirocyclic oxindole-γ-lactones in good yields with high to excellent diastereo- and enantioselectivities. The challenging aliphatic enals worked effectively using this strategy. The oxidative cross coupling of homoenolate and enolate via single electron transfer was proposed as the key step for the reaction.

Graphical abstract: N-Heterocyclic carbene-catalyzed oxidative [3 + 2] annulation of dioxindoles and enals: cross coupling of homoenolate and enolate

Supplementary files

Article information

Article type
Edge Article
Submitted
15 Sep 2016
Accepted
31 Oct 2016
First published
09 Nov 2016
This article is Open Access

All publication charges for this article have been paid for by the Royal Society of Chemistry
Creative Commons BY-NC license

Chem. Sci., 2017,8, 1936-1941

N-Heterocyclic carbene-catalyzed oxidative [3 + 2] annulation of dioxindoles and enals: cross coupling of homoenolate and enolate

X. Chen, K. Chen, D. Sun and S. Ye, Chem. Sci., 2017, 8, 1936 DOI: 10.1039/C6SC04135C

This article is licensed under a Creative Commons Attribution-NonCommercial 3.0 Unported Licence. You can use material from this article in other publications, without requesting further permission from the RSC, provided that the correct acknowledgement is given and it is not used for commercial purposes.

To request permission to reproduce material from this article in a commercial publication, please go to the Copyright Clearance Center request page.

If you are an author contributing to an RSC publication, you do not need to request permission provided correct acknowledgement is given.

If you are the author of this article, you do not need to request permission to reproduce figures and diagrams provided correct acknowledgement is given. If you want to reproduce the whole article in a third-party commercial publication (excluding your thesis/dissertation for which permission is not required) please go to the Copyright Clearance Center request page.

Read more about how to correctly acknowledge RSC content.

Social activity

Spotlight

Advertisements