Facile synthesis of potassium copper ferrocyanide composite particles for selective cesium removal from wastewater in the batch and continuous processes
Abstract
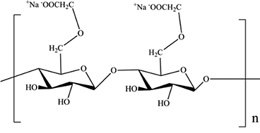
A composite potassium copper ferrocyanide particle adsorbent (CMC–KCuFC) was fabricated in this study, based on the use of a carboxymethyl cellulose sodium (CMC) biopolymer cross-linked with Cu2+ via a syringe pump device, serving as an efficient biosorbent for cesium (Cs) ion removal and adsorption from wastewater, and was verified by SEM, EDX, FT-IR, TGA and XRD. Influencing factors in the adsorption of cesium were systematically investigated, including the pH of the solution, contact time, initial concentration, temperature and competing ions. The results demonstrated that use of the CMC–KCuFC adsorbent was feasible under a wide range of pH values (5–10). The cesium adsorption process was described by the Freundlich isotherm model. Meanwhile, the adsorption equilibrium time was reached within 600 min and the kinetic study showed it to be well fitted by the pseudo-second-order kinetic model. Moreover, all materials involved in the CMC–KCuFC adsorbent were biosafe and biodegradable. CMC–KCuFC is expected to be a potential adsorbent for continuous removal of cesium from wastewater.

Please wait while we load your content...