Effects of Mn-doped ceria oxygen-storage material on oxidation activity of diesel soot
Abstract
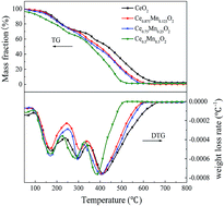
A Diesel Particulate Filter (DPF) is an effective device for reducing the soot emission of diesel engines. In order to realize the passive regeneration of DPF at low temperature, Ce1−xMnxO2 catalysts doped with different doses of Mn were prepared through a sol–gel method. The influence of the catalyst on soot oxidation characteristics was studied by thermogravimetric analysis (TGA). The oxygen vacancy formation energy was calculated using the first principles Perdew–Wang 1991 (PW91) method based on density functional theory (DFT) within the generalized gradient approximation (GGA). Moreover, catalytic performance was evaluated using X-ray diffraction (XRD), scanning electron microscopy (SEM), Raman spectroscopy, H2-temperature programming reduction (H2-TPR) and X-ray photoelectron spectroscopy (XPS). The results show that the ignition temperature and peak temperature of soot oxidation gradually decrease, and also the activation energy of Ce1−xMnxO2 for the catalytic soot oxidation decreases with the increase of Mn concentration. When the Mn concentration is 50%, the ignition temperature and peak temperature are decreased by 42 °C and 32 °C, respectively. The crystal structure of the prepared Ce1−xMnxO2 has a better stability, and Mn doping leads to the increase of lattice defects. Moreover, the oxygen vacancy formation energy of the Ce1−xMnxO2 catalyst decreases with increasing Mn concentrations. When Mn doping concentration is 50%, the oxygen vacancy formation energy represents a minimum value of 0.31 eV.

Please wait while we load your content...