Issue 52, 2016, Issue in Progress

Variable temperatures 1H NMR technique on the kinetics and thermodynamic parameters of equilibrium between the Z and E isomers in a stable phosphorus ylide involving an imidazole

Abstract

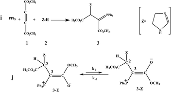
Analysis of 1H NMR spectra of a special ylide involving an imidazole at variable temperatures has been employed to study the kinetics of the interchangeable process in the equilibrium between the two Z- and E-isomers of a stable phosphorus ylide. Activation data (k−1, k1, ktotal, Ea1, Ea−1, Eatotal, ΔH, ΔG, ΔS) and thermodynamic parameters (Ke, ΔH°, ΔG° and ΔS°) for the forward and reverse steps of the opposing reaction were obtained by means of the variable temperature 1H NMR technique and T-jump method. The 1H NMR results indicate that the interchangeable process of rotational isomers follows first-order kinetics with respect to both the forward and reverse reactions. The process was also entropy controlled.

Graphical abstract: Variable temperatures 1H NMR technique on the kinetics and thermodynamic parameters of equilibrium between the Z and E isomers in a stable phosphorus ylide involving an imidazole

Article information

Article type
Paper
Submitted
15 Apr 2016
Accepted
04 May 2016
First published
06 May 2016

RSC Adv., 2016,6, 46345-46349

Author version available

Variable temperatures 1H NMR technique on the kinetics and thermodynamic parameters of equilibrium between the Z and E isomers in a stable phosphorus ylide involving an imidazole

E. Aghdaei, S. M. Habibi-Khorassani and M. Shahraki, RSC Adv., 2016, 6, 46345 DOI: 10.1039/C6RA09758H

To request permission to reproduce material from this article, please go to the Copyright Clearance Center request page.

If you are an author contributing to an RSC publication, you do not need to request permission provided correct acknowledgement is given.

If you are the author of this article, you do not need to request permission to reproduce figures and diagrams provided correct acknowledgement is given. If you want to reproduce the whole article in a third-party publication (excluding your thesis/dissertation for which permission is not required) please go to the Copyright Clearance Center request page.

Read more about how to correctly acknowledge RSC content.

Social activity

Spotlight

Advertisements