Issue 2, 2016

Retracted Article: Novel Rh-substituted hexaaluminate catalysts for N2O decomposition

Abstract

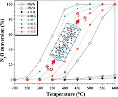
Novel Rh-substituted hexaaluminate catalysts were prepared for the first time for N2O decomposition as a green propellant. The catalytic tests revealed that an Rh content of x = 0.3 in the BaRhxMn1−xAl11O19 structure is able to decompose N2O from 250 °C and maintain the stability at the adiabatic temperature of 1200 °C.

Graphical abstract: Retracted Article: Novel Rh-substituted hexaaluminate catalysts for N2O decomposition

Associated articles

Supplementary files

Article information

Article type
Communication
Submitted
21 Aug 2015
Accepted
23 Nov 2015
First published
24 Nov 2015

Catal. Sci. Technol., 2016,6, 438-441

Social activity

Spotlight

Advertisements