Issue 27, 2015

Electrochromic polyiminocarbazolylenes with latent hydrogen bonding

Abstract

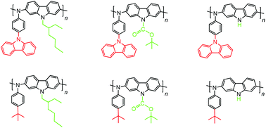
Polyiminoarylenes with carbazole (cbz) units in the main chain, or main and side chain and thermally cleavable t-butyloxycarbonyl (boc) groups were prepared upon palladium-catalyzed coupling reactions. Polymers were prepared from 2,7-dibromo-9-(2-ethylhexyl)-carbazole M1 and 9-(4-aminophenyl)carbazole hydrochloride M3 (P1-EH), 2,7-dibromo-9-t-butyloxycarbonyl-carbazole M2 and M3 (P1-BOC), M1 and 4-t-butylaniline M4 (P2-EH), or M2 and M3 (P2-BOC). Thermal treatment of boc-substituted polymers P1-BOC and P2-BOC at 180 °C for ≥4 h led to removal of the boc groups and formation of insoluble polymers P1-H and P2-H with strong adhesion to the substrate due to hydrogen bonding (‘latent hydrogen bonding’). For P1-BOC the rate constant k of deprotection could be determined to be about 0.050 min−1. Size exclusion chromatography indicated that the molecular weights of the polymers were between 14 100 and 28 100 g mol−1. Polymers P1-EH, P1-BOC, P2-EH and P2-BOC were readily soluble in toluene, THF, dichloromethane, chloroform, and benzene, and insoluble in acetone and methanol. After removal of the boc groups the resulting polymer films of P1-H and P2-H were insoluble in common organic solvents. Optical and electrochemical properties of the polymers were investigated. Due to the electron-rich nitrogen atoms in the main chain, the polymers can be easily oxidized. Oxidation starts at about 0.31 V vs. SCE with formation of cation radicals. Further oxidation occurs at 0.55 V with formation of dications, and at 0.71 V with oxidation of main chain cbz units. At about 1 V the side chain cbz units are oxidized. The polymers are electrochromic and exhibit color changes from colorless via orange to green and blue. Cbz oxidation at potentials ≥0.71 V leads to the formation of dimers in a side reaction. Thermal cleavage of the boc groups leads to well-adhering films of P1-H and P2-H due to hydrogen bonding of the carbazole N–H-groups between polymer chains, and polymer and ITO-substrate. The best performance with regard to reversible oxidation and adhesion was found for P1-H. For this polymer a reversible electrochromism was found. A contrast ratio of 12% at 900 nm, and a switching time of 400 ms were determined.

Graphical abstract: Electrochromic polyiminocarbazolylenes with latent hydrogen bonding

Supplementary files

Article information

Article type
Paper
Submitted
14 May 2015
Accepted
04 Jun 2015
First published
10 Jun 2015

Polym. Chem., 2015,6, 4887-4901

Electrochromic polyiminocarbazolylenes with latent hydrogen bonding

B. Berns and B. Tieke, Polym. Chem., 2015, 6, 4887 DOI: 10.1039/C5PY00713E

To request permission to reproduce material from this article, please go to the Copyright Clearance Center request page.

If you are an author contributing to an RSC publication, you do not need to request permission provided correct acknowledgement is given.

If you are the author of this article, you do not need to request permission to reproduce figures and diagrams provided correct acknowledgement is given. If you want to reproduce the whole article in a third-party publication (excluding your thesis/dissertation for which permission is not required) please go to the Copyright Clearance Center request page.

Read more about how to correctly acknowledge RSC content.

Social activity

Spotlight

Advertisements