Issue 39, 2014

Thermo-sensitive discotic colloidal liquid crystals

Abstract

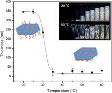
We fabricated for the first time thermo-sensitive discotic liquid crystals by grafting poly(N-isopropylacrylamide) (PNIPAM) onto zirconium phosphate (ZrP) platelets using pre-irradiated polymerization. The I–N transition was investigated by adjusting the temperature for a single set of samples. We found that soft disks self-assemble into nematic liquid crystals in a wider thickness-over-diameter ratio than do hard disks.

Graphical abstract: Thermo-sensitive discotic colloidal liquid crystals

Supplementary files

Article information

Article type
Communication
Submitted
12 Apr 2014
Accepted
12 Aug 2014
First published
13 Aug 2014

Soft Matter, 2014,10, 7692-7695

Author version available

Thermo-sensitive discotic colloidal liquid crystals

X. Wang, D. Zhao, A. Diaz, I. B. Nava Medina, H. Wang and Z. Cheng, Soft Matter, 2014, 10, 7692 DOI: 10.1039/C4SM00797B

To request permission to reproduce material from this article, please go to the Copyright Clearance Center request page.

If you are an author contributing to an RSC publication, you do not need to request permission provided correct acknowledgement is given.

If you are the author of this article, you do not need to request permission to reproduce figures and diagrams provided correct acknowledgement is given. If you want to reproduce the whole article in a third-party publication (excluding your thesis/dissertation for which permission is not required) please go to the Copyright Clearance Center request page.

Read more about how to correctly acknowledge RSC content.

Social activity

Spotlight

Advertisements