Issue 56, 2014

Phosgene-free synthesis of polypeptides using activated urethane derivatives of α-amino acids: an efficient synthetic approach to hydrophilic polypeptides

Abstract

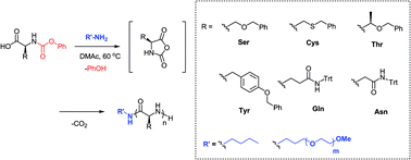
A series of polypeptides have been synthesized from the corresponding N-phenoxycarbonyl derivatives of hydroxyl- or amino-functionalized α-amino acids such as L-serine, L-cysteine, L-threonine, L-tyrosine, L-glutamine, and L-asparagine. These derivatives are prepared by N-carbamylation of tetrabutylammonium salts of α-amino acids with diphenyl carbonate (DPC). The synthesis of polypeptides can be achieved by heating these N-phenoxycarbonyl derivatives at 60 °C in N,N-dimethylacetamide (DMAc) in the presence of n-butylamine through the polycondensation of the derivatives with accompanying elimination of phenol and CO2. The NMR and MALDI-TOF mass analyses of the resulting polypeptides revealed that n-butylamine was successfully incorporated into the chain end of the polypeptides. Molecular weights of the polypeptides were controlled by varying the feed ratio of the urethane derivatives to n-butylamine. The employment of an amine-terminated poly(ethylene glycol) in place of n-butylamine permitted the successful synthesis of the corresponding diblock copolymers composed of polyether and polypeptide segments.

Graphical abstract: Phosgene-free synthesis of polypeptides using activated urethane derivatives of α-amino acids: an efficient synthetic approach to hydrophilic polypeptides

Supplementary files

Article information

Article type
Paper
Submitted
12 Apr 2014
Accepted
25 Jun 2014
First published
08 Jul 2014

RSC Adv., 2014,4, 29890-29896

Author version available

Phosgene-free synthesis of polypeptides using activated urethane derivatives of α-amino acids: an efficient synthetic approach to hydrophilic polypeptides

S. Yamada, A. Sudo, M. Goto and T. Endo, RSC Adv., 2014, 4, 29890 DOI: 10.1039/C4RA03315A

To request permission to reproduce material from this article, please go to the Copyright Clearance Center request page.

If you are an author contributing to an RSC publication, you do not need to request permission provided correct acknowledgement is given.

If you are the author of this article, you do not need to request permission to reproduce figures and diagrams provided correct acknowledgement is given. If you want to reproduce the whole article in a third-party publication (excluding your thesis/dissertation for which permission is not required) please go to the Copyright Clearance Center request page.

Read more about how to correctly acknowledge RSC content.

Social activity

Spotlight

Advertisements