Issue 1, 2014

Convergent synthesis of a hexasaccharide corresponding to the cell wall O-antigen of Escherichia coli O41

Abstract

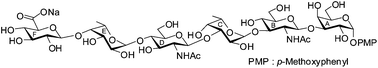
A convergent synthetic strategy has been developed for the synthesis of a hexasaccharide corresponding to the O-antigen of E. coli O41 using stereoselective [3 + 3] block glycosylation strategy. The target compound was synthesized assembling a series of suitably protected monosaccharide intermediates. Thioglycoside derivatives have been used as glycosyl donors in most of the glycosylation reactions. All intermediate steps are high yielding and the glycosylation steps are highly stereoselective. A number of recently developed methodologies have been used in the synthesis.

Graphical abstract: Convergent synthesis of a hexasaccharide corresponding to the cell wall O-antigen of Escherichia coli O41

Supplementary files

Article information

Article type
Paper
Submitted
30 Aug 2013
Accepted
07 Oct 2013
First published
20 Nov 2013

RSC Adv., 2014,4, 54-60

Convergent synthesis of a hexasaccharide corresponding to the cell wall O-antigen of Escherichia coli O41

T. Ghosh, A. Santra and A. K. Misra, RSC Adv., 2014, 4, 54 DOI: 10.1039/C3RA45493B

To request permission to reproduce material from this article, please go to the Copyright Clearance Center request page.

If you are an author contributing to an RSC publication, you do not need to request permission provided correct acknowledgement is given.

If you are the author of this article, you do not need to request permission to reproduce figures and diagrams provided correct acknowledgement is given. If you want to reproduce the whole article in a third-party publication (excluding your thesis/dissertation for which permission is not required) please go to the Copyright Clearance Center request page.

Read more about how to correctly acknowledge RSC content.

Social activity

Spotlight

Advertisements