Issue 2, 2014

A novel route for polymerisation of thiophene based conducting polymers using trace-free oxidants

Abstract

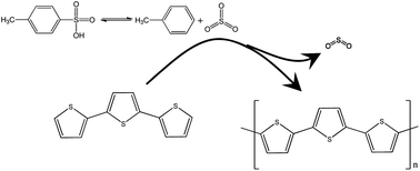
We report for the first time the use of p-toluene sulphonic acid (PTSa) and other sulphonic acids as trace-free oxidants for polymerisation of poly (bi-) and (ter-) thiophene. Sulphur is reduced from the oxidation state +6 to +4, leaving only SO2 and an aromatic compound to evaporate during the polymerisation.

Graphical abstract: A novel route for polymerisation of thiophene based conducting polymers using trace-free oxidants

Supplementary files

Article information

Article type
Communication
Submitted
11 Sep 2013
Accepted
07 Oct 2013
First published
10 Oct 2013

Polym. Chem., 2014,5, 361-364

A novel route for polymerisation of thiophene based conducting polymers using trace-free oxidants

J. H. So, D. Mayevsky, O. Winther-Jensen and B. Winther-Jensen, Polym. Chem., 2014, 5, 361 DOI: 10.1039/C3PY01265D

To request permission to reproduce material from this article, please go to the Copyright Clearance Center request page.

If you are an author contributing to an RSC publication, you do not need to request permission provided correct acknowledgement is given.

If you are the author of this article, you do not need to request permission to reproduce figures and diagrams provided correct acknowledgement is given. If you want to reproduce the whole article in a third-party publication (excluding your thesis/dissertation for which permission is not required) please go to the Copyright Clearance Center request page.

Read more about how to correctly acknowledge RSC content.

Social activity

Spotlight

Advertisements