Issue 25, 2014

Proline N-oxides: modulators of the 3D conformation of linear peptides through “NO-turns”

Abstract

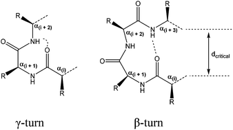
Small peptides are essential mediators of numerous physiological processes. Consequently, there is huge interest in the de novo design of peptides with a predictable folding and related biological activity. In this study, we investigate the possibility of modulating the secondary structure of tetrapeptides through proline N-oxide moieties and N-methylation of the peptide backbone. A series of tetrapeptides were synthesised to investigate the combined effect of Pro N-oxide and N-methylation of the amide bond on the (n + 1) residue in terms of cis- and trans-isomerization, as well as how these modifications direct potential intramolecular hydrogen bonding interactions. The right combination of both these parameters led to a trans to cis-conformational interconversion and a change in the nature of the hydrogen bonding interactions, as demonstrated by NMR spectroscopic, molecular modeling analysis and thermal coefficient studies. Proline N-oxide residues were proposed to induce turns we named as NO-γ-turns and NO-β-turns based on their similarity to traditional γ- and β-turns.

Graphical abstract: Proline N-oxides: modulators of the 3D conformation of linear peptides through “NO-turns”

Supplementary files

Article information

Article type
Paper
Submitted
25 Feb 2014
Accepted
09 Apr 2014
First published
09 Apr 2014
This article is Open Access
Creative Commons BY license

Org. Biomol. Chem., 2014,12, 4479-4490

Proline N-oxides: modulators of the 3D conformation of linear peptides through “NO-turns”

M. D. Farahani, B. Honarparvar, F. Albericio, G. E. M. Maguire, T. Govender, P. I. Arvidsson and H. G. Kruger, Org. Biomol. Chem., 2014, 12, 4479 DOI: 10.1039/C4OB00433G

This article is licensed under a Creative Commons Attribution 3.0 Unported Licence. You can use material from this article in other publications without requesting further permissions from the RSC, provided that the correct acknowledgement is given.

Read more about how to correctly acknowledge RSC content.

Social activity

Spotlight

Advertisements