Issue 20, 2014

Exploring the electronic states of iodocarbyne: a theoretical contribution

Abstract

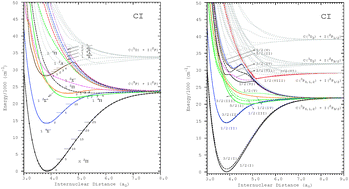
A manifold of electronic states correlating with the two lowest-lying dissociation channels of the iodocarbyne (CI) species is theoretically characterized for the first time in the literature. A contrast between the Λ + S and the relativistic (Ω) descriptions clearly shows the effect of perturbations on electronic states above 20 000 cm−1 and the potential difficulties to detect them experimentally. For the bound states, spectroscopic parameters were evaluated, as well as the dipole moment functions. Similarly to CO, the polarity predicted for this iodocarbyne is CδIδ+; as illustrated in the text, this is also the case for the other halocarbynes. As a potential mechanism for the experimental spectroscopic characterization of CI, we suggest the radiative association between C and I atoms, with light emitted in the red region of the visible spectra. Transition probabilities were also evaluated predicting very weak intensities. For the states 1/2(II) and 3/2(II), we have estimated radiative lifetimes of 7.1 and 714 ms, respectively.

Graphical abstract: Exploring the electronic states of iodocarbyne: a theoretical contribution

Article information

Article type
Paper
Submitted
24 Jan 2014
Accepted
30 Mar 2014
First published
03 Apr 2014

Phys. Chem. Chem. Phys., 2014,16, 9530-9537

Author version available

Exploring the electronic states of iodocarbyne: a theoretical contribution

T. V. Alves and F. R. Ornellas, Phys. Chem. Chem. Phys., 2014, 16, 9530 DOI: 10.1039/C4CP00375F

To request permission to reproduce material from this article, please go to the Copyright Clearance Center request page.

If you are an author contributing to an RSC publication, you do not need to request permission provided correct acknowledgement is given.

If you are the author of this article, you do not need to request permission to reproduce figures and diagrams provided correct acknowledgement is given. If you want to reproduce the whole article in a third-party publication (excluding your thesis/dissertation for which permission is not required) please go to the Copyright Clearance Center request page.

Read more about how to correctly acknowledge RSC content.

Social activity

Spotlight

Advertisements