Issue 4, 2014

Synthesis and structural analysis of alkylammonium sulfoisophthalates: cation size and geometry effects on the hydrogen bonded network

Abstract

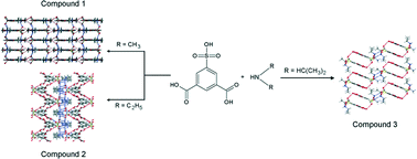
The solid-state organization of alkylammonium sulfoisophthalates has been analysed with respect to competing carboxylic–carboxylic and carboxylic–sulfonate interactions and preferred geometry of the amine–sulfonate interactions. All three compounds studied display layered structures with sulfoisophthalic monoanions arranged into sip-layers and alkylammonium cations crosslinking them. The size and geometry of the cation influences in a considerable way the hydrogen bond organization in the monolayers. The 2D anionic network is flat in compound 1, and becomes strongly corrugated in the presence of diethylammonium ion in compound 2. However, the bulky diisopropylammonium ion interrupts the network dimensionality and the monolayer in 3 is formed from sip chains, which are hydrogen-bonded into ribbons. Multiple weak interribbon interactions, established between the electron clouds of the aromatic rings and the lone pairs of O atoms, as well as, between the π electrons of the carbonyl double bonds hold together the neighbouring ribbons in the monolayer of 3. The common bridging–bridging ammonium–sulfonate synthon is observed in crystals 1 and 3. However, the ammonium–sulfonate synthon in crystal 2 appears to be a unique coupling of bridging–bridging and bifurcated interactions.

Graphical abstract: Synthesis and structural analysis of alkylammonium sulfoisophthalates: cation size and geometry effects on the hydrogen bonded network

Supplementary files

Article information

Article type
Paper
Submitted
31 Jul 2013
Accepted
20 Oct 2013
First published
22 Oct 2013

CrystEngComm, 2014,16, 591-599

Synthesis and structural analysis of alkylammonium sulfoisophthalates: cation size and geometry effects on the hydrogen bonded network

A. M. Nowak, T. Kurc, J. Janczak and V. Videnova-Adrabinska, CrystEngComm, 2014, 16, 591 DOI: 10.1039/C3CE41526K

To request permission to reproduce material from this article, please go to the Copyright Clearance Center request page.

If you are an author contributing to an RSC publication, you do not need to request permission provided correct acknowledgement is given.

If you are the author of this article, you do not need to request permission to reproduce figures and diagrams provided correct acknowledgement is given. If you want to reproduce the whole article in a third-party publication (excluding your thesis/dissertation for which permission is not required) please go to the Copyright Clearance Center request page.

Read more about how to correctly acknowledge RSC content.

Social activity

Spotlight

Advertisements