Issue 47, 2013

Synthesis of [18F]4-(4-fluorophenyl)-1,2,4-triazole-3,5-dione: an agent for specific radiolabelling of tyrosine

Abstract

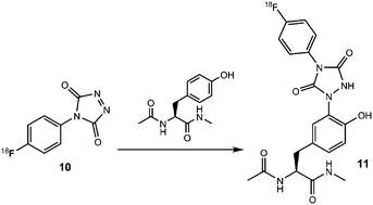
We developed a new [18F] prosthetic group, the [18F]4-(4-fluorophenyl)-1,2,4-triazole-3,5-dione ([18F]F-PTAD), used for its specific ligation with tyrosine-containing peptides or protein in order to develop a new and versatile radiolabelling technique that could provide a useful tool for new developments in PET imaging.

Graphical abstract: Synthesis of [18F]4-(4-fluorophenyl)-1,2,4-triazole-3,5-dione: an agent for specific radiolabelling of tyrosine

Additions and corrections

Article information

Article type
Paper
Submitted
26 Aug 2013
Accepted
10 Oct 2013
First published
14 Oct 2013

RSC Adv., 2013,3, 24936-24940

Synthesis of [18F]4-(4-fluorophenyl)-1,2,4-triazole-3,5-dione: an agent for specific radiolabelling of tyrosine

F. Jessica, W. Corentin, D. Sylvestre, L. Christian and L. André, RSC Adv., 2013, 3, 24936 DOI: 10.1039/C3RA44666B

To request permission to reproduce material from this article, please go to the Copyright Clearance Center request page.

If you are an author contributing to an RSC publication, you do not need to request permission provided correct acknowledgement is given.

If you are the author of this article, you do not need to request permission to reproduce figures and diagrams provided correct acknowledgement is given. If you want to reproduce the whole article in a third-party publication (excluding your thesis/dissertation for which permission is not required) please go to the Copyright Clearance Center request page.

Read more about how to correctly acknowledge RSC content.

Social activity

Spotlight

Advertisements