Issue 16, 2013

An efficient method to synthesize vinyl ethers (VEs) that bear various halogenated or functional groups and their radical copolymerization with chlorotrifluoroethylene (CTFE) to yield functional poly(VE-alt-CTFE) alternated copolymers

Abstract

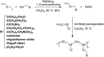
An air-stable palladium catalyst formed in situ from commercially available components efficiently catalyzed the transetherification between ethyl vinyl ether and various alcohols to lead to the corresponding original vinyl ethers in 40–84% yield in a single step. First, a series of vinyl ether monomers that bear various functional groups, such as halogenomethyl groups, amino groups, carbonate side-groups, oligo(ethylene oxide), and oligo(fluoroether) chains, were prepared and characterized by 1H and 13C NMR spectroscopy. Then, radical copolymerization of such novel vinyl ethers with chlorotrifluoroethylene (CTFE) led to alternating poly(CTFE-alt-VE) copolymers that contained various functional dangling groups. A series of copolymers with different amounts of functional groups were obtained in fair to good yield (32–81%). Their alternating structure was confirmed by elemental analysis as well as by 1H, 19F, and 13C NMR spectroscopy. Their thermogravimetric analyses under air showed decomposition temperatures at 10% weight loss (Td,10%) ranging from 214 to 324 °C. The oligo(fluoroether) chain-based copolymers appeared more thermostable than those based on other various functional groups.

Graphical abstract: An efficient method to synthesize vinyl ethers (VEs) that bear various halogenated or functional groups and their radical copolymerization with chlorotrifluoroethylene (CTFE) to yield functional poly(VE-alt-CTFE) alternated copolymers

Supplementary files

Article information

Article type
Paper
Submitted
05 Apr 2013
Accepted
08 May 2013
First published
09 May 2013

Polym. Chem., 2013,4, 4335-4347

An efficient method to synthesize vinyl ethers (VEs) that bear various halogenated or functional groups and their radical copolymerization with chlorotrifluoroethylene (CTFE) to yield functional poly(VE-alt-CTFE) alternated copolymers

A. Alaaeddine, G. Couture and B. Ameduri, Polym. Chem., 2013, 4, 4335 DOI: 10.1039/C3PY00443K

To request permission to reproduce material from this article, please go to the Copyright Clearance Center request page.

If you are an author contributing to an RSC publication, you do not need to request permission provided correct acknowledgement is given.

If you are the author of this article, you do not need to request permission to reproduce figures and diagrams provided correct acknowledgement is given. If you want to reproduce the whole article in a third-party publication (excluding your thesis/dissertation for which permission is not required) please go to the Copyright Clearance Center request page.

Read more about how to correctly acknowledge RSC content.

Social activity

Spotlight

Advertisements