Issue 4, 2013

Using NMR to identify and characterize natural products

Abstract

Covering: up to November 2012

Over the past 28 years there have been several thousand publications describing the use of 2D NMR to identify and characterize natural products. During this time period, the amount of sample needed for this purpose has decreased from the 20–50 mg range to under 1 mg. This has been due to both improvements in NMR hardware and methodology. This review will focus on mainly methodology improvements, particularly in pulse sequences, acquisition and processing methods which are particularly relevant to natural product research, with lesser discussion of hardware improvements.

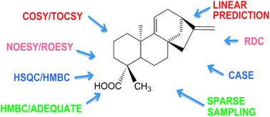
Graphical abstract: Using NMR to identify and characterize natural products

Article information

Article type
Review Article
Submitted
19 Oct 2012
First published
07 Jan 2013

Nat. Prod. Rep., 2013,30, 501-524

Using NMR to identify and characterize natural products

R. C. Breton and W. F. Reynolds, Nat. Prod. Rep., 2013, 30, 501 DOI: 10.1039/C2NP20104F

To request permission to reproduce material from this article, please go to the Copyright Clearance Center request page.

If you are an author contributing to an RSC publication, you do not need to request permission provided correct acknowledgement is given.

If you are the author of this article, you do not need to request permission to reproduce figures and diagrams provided correct acknowledgement is given. If you want to reproduce the whole article in a third-party publication (excluding your thesis/dissertation for which permission is not required) please go to the Copyright Clearance Center request page.

Read more about how to correctly acknowledge RSC content.

Social activity

Spotlight

Advertisements