Issue 18, 2012

A concise synthesis procedure to furnish multi-gram amounts of hexadentate, bivalent DO2A-based chelators

Abstract

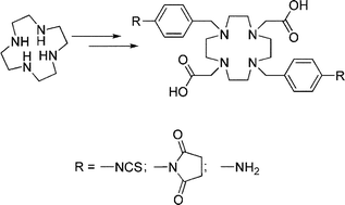
The synthesis of three bifunctional chelators, namely 1,7-bis-(4-aminobenzyl)-1,4,7,10-tetraaza-cyclododecane-4,10-diacetic acid (1), 1,7-bis-(4-isothiocyanatobenzyl)-1,4,7,10-tetraazacyclododecane-4,10-diacetic acid (2) and 1,7-bis-(4-maleimidobenzyl)-1,4,7,10-tetraazacyclododecane-4,10-diacetic acid (3), is presented. Compounds 1–3 are versatile building blocks for the synthesis of bivalent imaging agents for molecular imaging. This straightforward, high yielding synthesis route affords 1–3 on a multi-gram scale.

Graphical abstract: A concise synthesis procedure to furnish multi-gram amounts of hexadentate, bivalent DO2A-based chelators

Article information

Article type
Paper
Submitted
14 May 2012
Accepted
28 May 2012
First published
13 Jun 2012

RSC Adv., 2012,2, 7156-7160

A concise synthesis procedure to furnish multi-gram amounts of hexadentate, bivalent DO2A-based chelators

P. J. Riss, C. Burchardt, M. J. Zimny, J. Peters and F. Roesch, RSC Adv., 2012, 2, 7156 DOI: 10.1039/C2RA20931D

To request permission to reproduce material from this article, please go to the Copyright Clearance Center request page.

If you are an author contributing to an RSC publication, you do not need to request permission provided correct acknowledgement is given.

If you are the author of this article, you do not need to request permission to reproduce figures and diagrams provided correct acknowledgement is given. If you want to reproduce the whole article in a third-party publication (excluding your thesis/dissertation for which permission is not required) please go to the Copyright Clearance Center request page.

Read more about how to correctly acknowledge RSC content.

Social activity

Spotlight

Advertisements