Issue 9, 2012

On chirality induction in poly(phenylenedisilanylene)s

Abstract

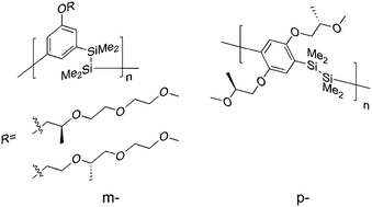
A series of poly(m- and p-phenylenedisilanylene)s with a chiral oligo(ethylene glycol) side chain were synthesized and their chiroptical properties as a function of the position of the chiral substituent in the side chain and the position of the phenylene link in the main chain were studied. Poly(m-phenylenedisilanylene)s with a chiral tri(ethylene glycol) side chain m-1 displayed optical activity arising from solvophobic and metal-coordination interactions. However, the induced optical activity showed a dependence on the position of the chiral center in the side chain. As the position of the chiral center of the side chain was moved away from the main chain, the induced Cotton effect was only observed at low temperature, in a polar solvent, indicating that the optically active side group with a different position of the chiral center showed some ability, albeit small, to induce optical activity in the polymer. The sign of the observed Cotton effect also alternated with the position of the chiral center of the side chain on the solvation- and metal-coordination-driven chirality induction in the polymers. In addition, poly(p-phenylenedisilanylene) with chiral ethylene glycol side chains p-1 displayed the Cotton effect in polar and nonpolar solvents.

Graphical abstract: On chirality induction in poly(phenylenedisilanylene)s

Supplementary files

Article information

Article type
Paper
Submitted
05 Apr 2012
Accepted
10 Jun 2012
First published
13 Jun 2012

Polym. Chem., 2012,3, 2625-2631

On chirality induction in poly(phenylenedisilanylene)s

T. Sanji, Y. Sato, N. Kato and M. Tanaka, Polym. Chem., 2012, 3, 2625 DOI: 10.1039/C2PY20378B

To request permission to reproduce material from this article, please go to the Copyright Clearance Center request page.

If you are an author contributing to an RSC publication, you do not need to request permission provided correct acknowledgement is given.

If you are the author of this article, you do not need to request permission to reproduce figures and diagrams provided correct acknowledgement is given. If you want to reproduce the whole article in a third-party publication (excluding your thesis/dissertation for which permission is not required) please go to the Copyright Clearance Center request page.

Read more about how to correctly acknowledge RSC content.

Social activity

Spotlight

Advertisements